奥氏体、铁素体、马氏体不锈钢有何区别,常见的201,304是哪种体?
奥氏体不锈钢的特点
在常温下具有奥氏体组织的不锈钢。钢中含Cr约18%、Ni 8%~10%、C约0.1%时,具有稳定的奥氏体组织。奥氏体铬镍不锈钢包括著名的18Cr-8Ni钢和在此基础上增加Cr、Ni含量并加入Mo、Cu、Si、Nb、Ti等元素发展起来的高Cr-Ni系列钢。奥氏体不锈钢无磁性而且具有高韧性和塑性,但强度较低,不可能通过相变使之强化,仅能通过冷加工进行强化。如加入S,Ca,Se,Te等元素,则具有良好的易切削性。此类钢除耐氧化性酸介质腐蚀外,如果含有Mo、Cu等元素还能耐硫酸、磷酸以及甲酸、醋酸、尿素等的腐蚀。此类钢中的含碳量若低于0.03%或含Ti、Ni,就可显著提高其耐晶间腐蚀性能。高硅的奥氏体不锈钢浓硝酸肯有良好的耐蚀性。由于奥氏体不锈钢具有全面的和良好的综合性能,在各行各业中获得了广泛的应用。

铁素体不锈钢的特点
在使用状态下以铁素体组织为主的不锈钢。含铬量在11%~30%,具有体心立方晶体结构。这类钢一般不含镍,有时还含有少量的Mn、Ti、Nb等到元素,这类钢具导热系数大,膨胀系数小、抗氧化性好、抗应力腐蚀优良等特点,多用于制造耐大气、水蒸气、水及氧化性酸腐蚀的零部件。这类钢存在塑性差、焊后塑性和耐蚀性明显降低等缺点,因而限制了它的应用。炉外精炼技术(AOD或VOD)的应用可使碳、氮等间隙元素大大降低,因此使这类钢获得广泛应用。
奥氏体--铁素体双相不锈钢的特点
是奥氏体和铁素体组织各约占一半的不锈钢。在含C较低的情况下,Cr含量在18%~28%,Ni含量在3%~10%。有些钢还含有Mo、Cu、Si、Nb、Ti,N等合金元素。该类钢兼有奥氏体和铁素体不锈钢的特点,与铁素体相比,塑性、韧性更高,无室温脆性,耐晶间腐蚀性能和焊接性能均显著提高,同时还保持有铁素体不锈钢的475℃脆性以及导热系数高,具有超塑性等特点。与奥氏体不锈钢相比,强度高且耐晶间腐蚀和耐氯化物应力腐蚀有明显提高。双相不锈钢具有优良的耐孔蚀性能,也是一种节镍不锈钢。

马氏体不锈钢的特点
通过热处理可以调整其力学性能的不锈钢,通俗地说,是一类可硬化的不锈钢。典型牌号为Cr13型,如2Cr13,3Cr13,4Cr13等。淬火后硬度较高,不同淬火温度具有不同强韧性组合,主要用于蒸汽轮机叶片、餐具、外科手术器械。根据化学成分的差异,马氏体不锈钢可分为马氏体铬钢和马氏体铬镍钢两类。根据组织和强化机理的不同,还可分为马氏体不锈钢、马氏体和半奥氏体(或半马氏体)沉淀硬化不锈钢以及马氏体时效不锈钢等。
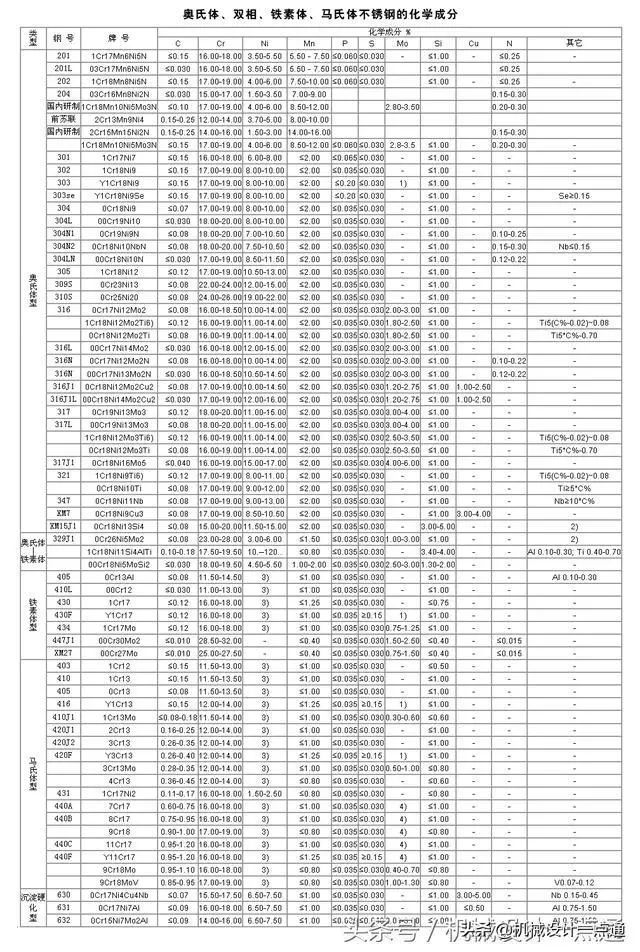
常见不锈钢牌号的晶体类型及化学成分

文章来源:头条号/机械设计一点通
相关文章:


