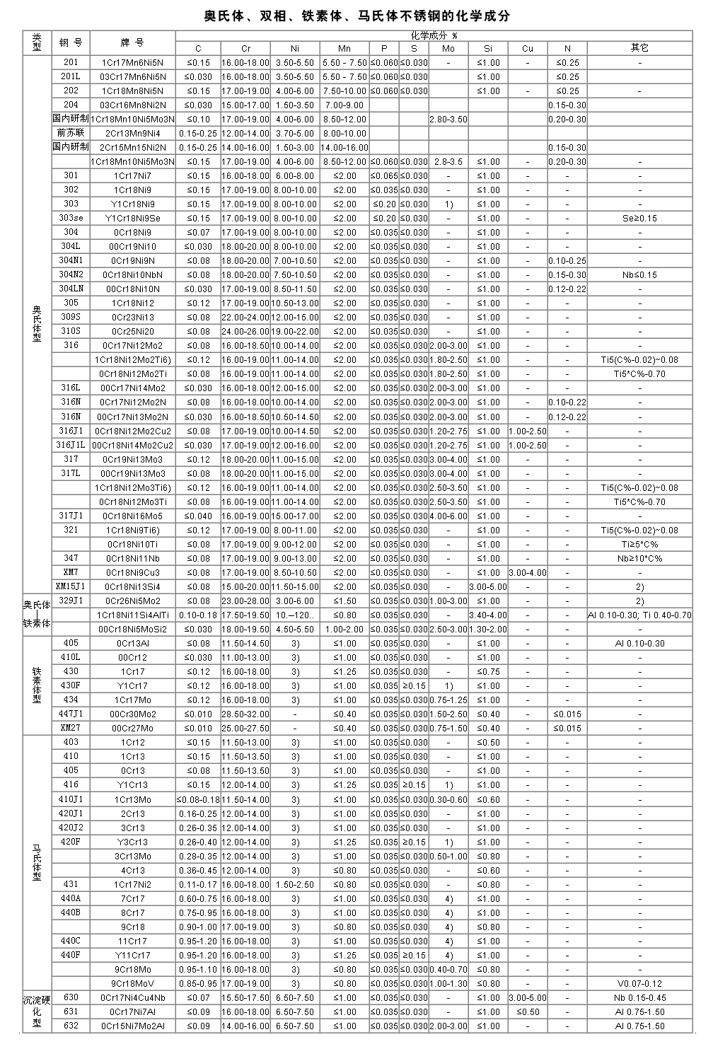
不锈钢化学成分对照表
奥氏体,双相,铁素体,马氏体 不锈钢化学成份 对照表

不锈钢化学成分对照表
奥氏体,双相,铁素体,马氏体 不锈钢化学成份 对照表
钢号对照表,牌号,化学成分,对照表,不锈钢,奥氏体,双相,铁素体,马氏体,不锈钢管,化学成份,钢号,304,316,201,410,630,631,632,......
不锈钢化学成分对照表
奥氏体,双相,铁素体,马氏体 不锈钢化学成份 对照表

不锈钢化学成分对照表
奥氏体,双相,铁素体,马氏体 不锈钢化学成份 对照表
钢号对照表,牌号,化学成分,对照表,不锈钢,奥氏体,双相,铁素体,马氏体,不锈钢管,化学成份,钢号,304,316,201,410,630,631,632,......
|
|
常州精密钢管博客网推荐您访问: |
|---|