3 高碳铬轴承钢的热处理技术进展
上面已经指出,高碳 Cr 轴承钢 52100( 100Cr6, 100C6,GCr15,ЩХ15,SUJ2) 是轴承钢的代表性钢 种,也是第一代轴承钢的最主要钢种。其成分常写 成 1% C-1.5% Cr 的高碳低合金钢。它能满足轴承使用中的种种性能要求。同时在轴承制造过程中能 保持稳定的生产效率和良好的工艺性能,如锻造、轧制的热加工性和车削、磨削等冷加工性,是一种很优 秀的钢种。它自研制成功至今已近 120 年,基本成分没有变化,其疲劳寿命却依赖于冶金工艺现代化 和采用炉外精炼技术等,提高钢的纯净度后性能获得了成倍甚至成几十倍的增加,在世界上,52100 钢 是要求最为严格的一种钢种。它在经过一般的淬火和回火热处理后能具有优异的使用性能,能耐磨损, 抗疲劳( 接触应力可达 3000 ~ 4000 MPa) ,使用温度宽( - 45 ~ 120 ℃ ) ,尺寸和形状稳定性好,并具有一 定的耐腐蚀性能。但是,该钢的焊接性能较差,具有 形成白点缺陷的敏感性和回火脆性的倾向。
前面已有指出,GCr15 中 Cr 的加入量一般常常控制在 2% 以下,为防止易粗大的 Cr7C3 生成,钢将处于( α + ( Fe,Cr) 3C) 状态。Cr 在高碳铬轴承钢中 的作用十分重要,对( Fe,Cr) 3C 碳化物细化、分布、 球化和稳定化有利,为此,其碳化物在球化退火后的粒度比碳素工具钢的细小和均匀[37]。图 3 中表示随着含 C 量增加,加入 Cr 的量可增加约 3.5% 左 右[38]。
高碳铬轴承钢中 Si、Mn 的加入提高淬透性,如 100CrMnSi6-4,100CrMnSi6-6,美国的高淬透性能抗 磨轴承钢中的 2 号轴承钢,在我国有 GCr5SiMn。更需要高淬透性时可加入 Mo 元素,为防止生成难熔和 粗大的 M23C6 碳化物,Mo 的加入量一般 < 0.5% ,如 100CrMo7-4,100CrMnMoSi8-4-6,美国的高淬透性能抗磨轴承钢 4 号,我国的轴承钢的 GCr15SiMo 中 Mo 的加入量为 0.30% ~ 0.40%,GCr18Mo 含 0.15% ~ 0.25% Mo( 与 100CrMo7 相当) 。另外有时为降低成本而降低 C、Cr 含量,在美国有 5195 和 5090M,在我国的 G8Cr15,其含碳量降低为 0.80% 左右。日本曾 经采用的 SUJ1含铬量较低,为 0.90% ~ 1.20% ,但是在现行标准中已经被删去了。

高碳铬轴承钢中有加入 Si 或 Al 至 2% 以改善回火稳定性,提高高温强度和加入 0.2% V 增加冲击韧性的,但未纳入标准。如 1.5% 的 Si 和 Al 单独或 混合加入,可成为准高温用钢[39]。
现在人们已经认识到,高碳铬轴承钢是氧化铝、( 碳) 氮化钛、硫化物、硅酸盐、氧化物等非金属夹杂 物体系和 Fe3C、Fe7C3 等碳化物体系以及 Fe-C-Cr 多 元合金体系经过冶炼、铸造、轧制和热处理制成了高 碳含铬低合金钢轴承材料。尽管前面 2 个体系仅占 很小一部分,但是这些体系的组成成分、数量、组织组成和形态都密切关联着该轴承钢材料的性能。只有很严格规定和限制这两个体系的允许出现范围, 制得很高纯净度的钢,并采用最恰当的热处理技术, 才能制取具有优异特性的轴承材料。本节首先阐明碳化物体系和扩散退火、正火,控制轧制和控制冷却与球化退火的密切关联,然后阐述热处理淬火回火组织对钢力学性能、磨损和接触疲劳寿命的关联,最 后将阐述非金属夹杂物( 钢的纯净度) 和接触疲劳寿 命的关系。
3.1 扩散退火降低钢锭和钢坯的碳化物液析和带状偏析
不管采用模铸或连铸,高碳铬轴承钢在凝固中 都会形成宏观的区域偏析和微观的树枝晶偏析,引 起碳化物的不均匀分布,其主要表现为碳化物液析、 带状碳化物和网状碳化物组织的出现,在高碳铬轴 承钢按照标准进行的检测中要求严格加以限制,本文会在后面阐明。
3.1.1 碳化物液析和带状偏析的形成
钢在结晶凝固中凝固速度 V( cm /s) 和枝晶偏析 关系按 И.Н.ГОЛИКОВ 研究认为可以用出现极大 值的曲线描述( 图 4) [23],图中横坐标以 lg( 1 /V) 表 示,纵坐标以枝晶偏析度,δ = ( F1 - F0 ) /f0 表示,其 中 F1 和 F0 分别为枝晶之间区域和树枝晶干之间区域的碳浓度,f0 为钢的原始碳浓度,对高碳铬轴承钢 为 1.0%[23]。图中的左侧曲线表明凝固速度 V 较大, 在固相中不能进行扩散,在液相中的扩散也受到阻 止,极端情况是结晶速度极大的瞬时凝固,得到的组织为无枝晶偏析的均匀固溶体,这时,F1≈F0,δ≈0。右侧曲线则表明凝固速度比较小时的情况,在液相 中能充分进行扩散,在固相中碳的扩散渐渐加强,产 生枝间偏析的倾向减小 ( 这时 V 的减小,lg1 /V 愈 大) ,极端情况为平衡凝固,将得到理想的均匀固溶体,这时,F1≈F0,δ≈0。他还提出,当钢锭轴心与表面的距离 > 200 mm 时,凝固将受到右侧曲线的制 约,即对边长之半 > 200 mm 的大钢锭,凝固速度 V 愈慢,枝晶偏析的程度愈小。钢锭一般的凝固都属于这种情况。上文已经强调: 高碳铬轴承钢在采用 模铸或连铸在一定凝固速度下的结晶过程中都会形 成宏观的区域偏析和微观的枝晶偏析。当凝固速度 V = 1 cm /s = 600 mm /min,lg1 /V= 0,这时 δ 仍有较小的数值; 如果 V 再加大,lg1 /V 出现负值,δ 则为更小 的值。当发生瞬时凝固,则F1≈F0,δ≈0。

高碳铬轴承钢凝固中的树枝晶偏析可以说明如下: 图 5 表示 Fe-Cr-C 三元相图[39],下方为倒置的 Fe-Fe3C 相图。上方表示加入 Cr 的成分对相图影 响。三元共晶区为( γ + Fe3C + L) 在 1185 ~ 1143 ℃范围变化,γ 相含碳 ( F2 点) 约 1.5% 左右。图 6 为 含 1.6% Cr 的 Fe-Cr-C 三元相图的垂直截面[40],图 上表示,GCr15 钢的液相固相线温度大约为 1460 和 1220 ℃,二相共存区约达到 240 ℃ 范围。液固二相 共存区范围大的钢,产生偏析的趋势高。在 Fe-Cr-C 系合金凝固中,C、Cr、Si、Mn 和 Mo 发生偏析的偏析系数分别为 0.87、0.05、0.34、0.16 和 0.2,为此碳形 成枝晶偏析的倾向最大,铬在奥氏体中的扩散速度 慢( 铬在固相 γ 中扩散比碳小 4 ~ 5 个数量级) ,同时它是碳化物形成元素,减小奥氏体中碳的扩散系数 Dc,这些因素导致 GCr15 钢凝固中具有较大的树枝晶偏析倾向[23]。其一次奥氏体树枝晶含有碳的浓度为 0.6% ~ 0.7% ,在共晶温度时结晶的奥氏体含 碳大约 1.3% ~ 1.4% 。当一定条件下树枝晶偏析合 金成分在接近 1.5% C 时,液相接近消失,这时会形 成液析碳化物的组织; 当一定条件下树枝晶偏析合 金成分在接近共晶温度时,仍保持较多液相,则在凝 固态组织中会出现较多量莱氏体共晶,呈现典型的 亚共晶合金的组织; 当一定条件下树枝晶偏析合金 在接近共晶点时仍保留液相,最后成分接近 C 点结 晶的钢液发生共晶反应,获得莱氏体共晶组织,组织中就出现粗大莱氏体共晶碳化物。实际上,后述的 二种情况不属于碳化物液析,但是却有统称为“碳化物液析”组织的。


上世纪 70 年代更详细研究表明,1% C 钢在凝 固的实际冷却速度下也会发生共晶反应。图 7 定量表明连铸坯和钢锭尺寸增大,冷却速度减小,大块碳 化物尺寸和数量增加[39]。2 ~ 3 t 高碳轴承钢锭的中心偏析部位,符合上述条件,出现大块碳化物表示于 图 8( a) 和 8( b) ,这种钢件在高温加热后慢冷时仍得到的粗大碳化物示于图 8( c) 和 8( d) [41]。

液析碳化物,又称离异共晶,组织形态是在奥氏体上离异析出粒状 Fe3C 的共晶产物,经轧制后,被 轧成条带状。液析碳化物具有高硬度和脆性,易剥落成为磨损起源,也是疲劳失效的起源,所以应该严 格限制。在热作模具钢 H13 钢中也不允许这种液析碳化物的出现,它和轴承钢采用一样的方法进行鉴 定,我们很早已经有专门论文发表,出现液析碳化物 的情况示于图 9[42]。



带状碳化物: 枝晶偏析造成了碳浓度高低不同的偏析区,在热轧变形时延伸成富集碳的奥氏体区 和含碳比较低的奥氏体区,常常呈流线带状分布。富碳奥氏体在冷却过程中析出呈颗粒状的或呈网状 的二次碳化物和铁素体基体,经过腐蚀后和在比较 低的放大倍数下呈黑色连续的带,含碳量比较低的 部位呈白色的带。这样的组织大多数以一条或几条 带宽不同的连续的黑白相间的带呈现在视场中,称 带状碳化物分布,图 10 是典型的带状碳化物形貌。它往往会伴生着 MnS 条状夹杂。在黑色碳化物带 上,含碳量高达1.3% ~ 1.4% ,含铬量 > 2% ,在随后的球化退火中容易出现球化不完全和不均匀的缺 陷; 带间的含 C量较低,约 0.6% ~ 0.7% ,Cr < 1% ,在淬火后容易出现粗大马氏体组织,相对其淬透性 比较差,会出现屈氏体组织,造成硬度分布不均匀, 降低轴承的接触疲劳寿命。带状碳化物评级达 3 ~ 4 级时会使轴承钢零件的疲劳寿命降低 30% 左右[23]。所以,它和液析碳化物一样都受到严格限制。
要求尽可能地降低偏析程度,首先选取含碳和铬处于成分范围下限的钢液,又应该从冶炼浇注工 艺着手,控制好初生碳化物的形态,然后在热加工工序中采用合理的扩散退火处理( 1150 ~ 1250 ℃ ) ,才能获得减轻碳化物液析和带状碳化物的不均匀分布的好效果,但是,当温度 > 1260 ℃时会出现热脆性。
模铸中的铸造工艺要求采用合理的铸温和铸速才可能把偏析控制在最低程度,并不易产生应力裂 纹。目前在各自的生产条件下,遵循合理的低温、慢 注原则[23]。我国轴承钢的液相温度基本可分三个温度范围:1420 ~ 1440,1440 ~ 1460,1500 ~ 1520 ℃。可以由此来确定模铸温度或连铸中中间包的过热度。一般开浇温度即为精炼处理结束温度。GCr15、 GCr15SiMn 为 1455 和 1448 ℃,有数据表明,开浇前温度可以控制在 1515 ~ 1520 ℃。铸造速度( 铸模内 钢液上升线速度) 分慢速( 150 ~ 300 mm /min) 、中速 ( 300 ~ 500 mm /min) 和快速( > 600 mm /min) 。铸造温度和速度的最佳配合要通过大量实践统计确定, 有数据表明: 铸造温度 1510 ~ 1520 ℃、铸造速度 239 和 219 mm /min 时,合格率达到 90% ~ 100%[23]。
3.1.2 扩散退火降低碳化物液析和带状偏析分析[23]
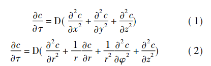
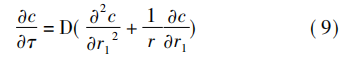
钢锭和经过开坯轧制成的钢坯在加热扩散退火 中偏析元素的均匀化过程服从菲克第二扩散定律, 在笛卡尔坐标和圆柱坐标下的偏微分方程分别为:

式中: c 为偏析元素浓度,% ; τ 为扩散时间,h; D 为扩散系数,cm2 /h。
下面以 3 t 钢锭为例进行分析,钢锭尺寸如图 11 表示,SKF 对钢锭铸型研究十分重视,采用 3.3 t ( 580方) 双锥度铸型[43]。可以这样认为,对 GCr15 钢的碳化物不均匀分布,能以碳的分布作为计算对 象,在无限长圆柱体内的铸造树枝晶之间进行扩散。假设在扩散过程中在树枝晶一次晶轴上的碳浓度保 持常数: cτ,r = R,z = H = c表 = 1% ; c心 是定长圆柱体中心区的碳浓度,在 τ = 0 时因为钢锭组织中存在大块状共晶莱氏体,按 1.6% Cr 的 Fe-Fe3C 准二元平衡相 图可知,共晶 C 点含碳量约为 4.2% ,所以钢锭组织中心的碳浓度为: cτ = 0,r = 0,z = 0 = c心 = 4.2% 。由这二点 可以确定上述偏微分方程的边界条件和起始条件。



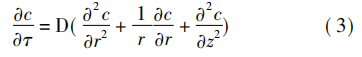
无限长圆柱体由图 12、图 13 示意表示,长圆柱 体尺寸( 2H,2R) 由钢锭或钢坯中树枝晶尺寸确定,同时令长圆柱体横截面 r 方向呈均匀分布,则式( 2) 可简化成:

该微分方程的起始条件为: τ = 0 时,长圆柱体中 偏析元素的浓度 c 沿半径 r 和长度 z 方向近似成下述的抛物线分布( 图 13) :

该微分方程的边界条件为: 设树枝晶一次晶轴 上 r = R 和 z = H 上偏析元素浓度保持不变而予以简 化(实际过程中的碳浓度会有少量增加) ,即上述的 公式:

这样方程( 3) 的解为:


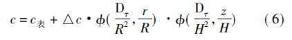
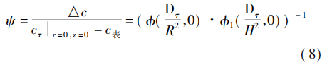
偏析元素在 r = 0,z = 0 处,即长圆柱体中心处的浓度变化是人们最值得关注的:

当 r = 0 和 z = 0 时的∅和∅1 函数值可取自图 14( a) 和图 14( b) 。这样,可以计算求得长圆柱体中心处的碳浓度随着扩散退火时间 τ 的变化,示于图 15 中。图中炉温变化按测量曲线记录,钢锭表面温 度应用其正反面测得的温度平均数值画出,按热传 导方程计算求得钢锭轴心区的温度,并求得不同退 火时间时的碳的扩散系数 Dτ,这样,钢锭轴心区的碳 浓度( 即图上的高浓度区 c% ) 变化曲线就可以求 得。又按 3 t 钢锭组织试样片发现组织中的大块共 晶碳化物在≥1050 ℃ 时开始溶解,这时开始计算扩散退火时间于 1 h 点,至 15 h 点时,钢锭轴心区的碳浓度下降为 1.999% 。


3.1.3 扩散退火效果分析[23]
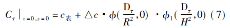
公式( 7) 移项后表示为扩散退火 τ 时间后的效 果 ψ

由该式可见,效果 ψ 取决于 Dτ 和扩散单元体尺 寸 R、H:
( 1) Dτ ( cm2 /h) 仅与扩散退火加热达到的温度有关,与不同扩散时间 τ 的碳浓度无关时:

碳在 GCr15 钢中 D0 = 0.175 cm2 /s,扩散激活能 Q = 150 kJ/mol。当炉温在 1050、1150、1200 ℃ 时的D = Dτ 分别为 81.0×10∧-5、210.5×10∧-5、321×10∧-5 cm2/h。
( 2) R 和 H 值与钢锭大小或开坯轧制成的方坯尺寸相关: 对 3 t 钢锭轴心区 110 个枝晶尺寸测量值 平均2H 为 0.7936 cm,最大为 1.6 cm( 一次晶轴长 为 2H) ,二次晶轴长度 2R 平均为 0.4718 cm,最大为 0.9 cm,计算时以最大值或平均值表示。把钢锭轧 成 125 mm × 125 mm 方坯,树枝晶轴沿轧制方向延 伸,偏析带间距缩短,可认为扩散加热前在圆周方向 和高度方向的碳浓度是均匀的,这样扩散方程(3) 又 简化成( R1 为树枝晶轴沿轧制方向延伸尺寸,r1 为 变量) :

初始条件: τ = 0 时,碳沿 r1 方向由表面至轴心 呈抛物线分布,即:

边界条件: 无限长圆柱体表面浓度为常数:

方程式( 9) 解的表达式为:

相应轴心 r1 = 0 处的碳浓度 c 为:

假设 c表 = 1% ,c心 为钢锭经扩散退火后高浓度 区的碳浓度。相应值在 1220 ℃时 τ = 2.5 和 15 h 时分别为 4.2% 和 1.999% ( 图 15) ,式中 ∅( Dc /R1∧2,0) 由图 14( a) 查得。
R1 按下式求得: R1 = L1L × l,把 L1 = 12.5 cm 为 方坯尺寸,L = 50 cm 为 3 t 钢锭边长( 图 10) ,l= 0.45 cm 为钢坯中树枝晶二次轴长度之半,代入公式求 得 R1 = 0.113 cm。
按上述的 3 t 钢锭( 1220 ℃扩散退火保温 2.5 h 以及 15 h 的两种) 开坯轧制成 125 方坯,按图 16( a)扩散退火工艺,在 < 1050 ℃ 以下加热大约 1.7 h→ 1050 ~ 1060 ℃加热 0.166 h→1060 ~ 1090 ℃加热 0.5 h→1090 ~ 1120 ℃ 加热 0.65 h,对应 1220 ℃ 保温 2.5 h 以及 15 h 的 125 方坯,心部高浓度 c% 分别由 4.0% 以及 1.999% 经过 3.862% 和 3.375% 以及经 过 1.935% 和 1.776% 下降至2.708% 以及 1.558% 。该工艺条件下的心部含碳量均 > 1.55% 。即在这两种工艺条件下都会出现碳化物液析和严重的碳化物 带状偏析,如图 16( b) 和 16( c) 所示。

按上述的 3 t 钢锭( 1220 ℃ 扩散退火保温 2.5 h 以及 15 h 的两种) 开坯轧制成 125 方坯,按图 17( a)扩散退火工艺,在 < 1050 ℃以下加热大约 2 h→1050 ~ 1120 ℃加热 0.5 h→1120 ~ 1140 ℃ 加热0.5 h→ 1140 ~1160 ℃加热 0.5 h→1160 ~1180 ℃加热 0.5 h, 对应于 1220 ℃保温 2.5 h 以及 15 h 的 125 方坯,心部高浓度的含碳量分别由 4.0% 以及 1.999% 经过3.418%,2.76%,2.196% 以及经过 1.79%,1.575 和 1.391%下降至 1.745% 以及 1.243% ( 图 17( a) ) 。该 前种工艺心部含碳量 > 1.55% ,即在这时会出现碳化物液析和碳化物带状偏析; 该后种工艺心部含碳 量 < 1.55% ,即在这时就不会出现碳化物液析和碳化物带状偏析,如图中 17( b) 和 17( c) 所示。
由图 16 和 17 可见,经开坯轧制后因为扩散间 距减小,对应的扩散效果 ψ 会增加。当心部含碳量 < 1.55% ,不出现碳化物液析,碳化物带状呈宽的黑 带,其间碳化物颗粒细小、分布均匀,如图 17( b) 和17( c) 示。应用微区光谱方法测定带状碳化物中含 碳量为 1. 35% ,与 1.243% 较为接近。
上述分析结果表明,尽管计算中用了许多假设, 但计算值还是较接近实际情况的。可见预测钢中的碳化物偏析和碳化物带状组织类型特征还是有可能的。3t 钢锭和轧制成的 125 钢坯在 1220 ℃保温 1 h扩散效果 ψ 计算值为 1.08 和 6.28[23]。

同时,人们也可得出: 当钢锭加热能力不足条件下,可通过轧制成的钢坯加热制度调整来强化扩散效果( 即对应钢锭扩散时间可以缩短一些) 。瑞典 SKF Hofors 工厂 100t 钢包,采用 3.3 t 双 维度钢锭( 与图 11相近) ,出钢温度 1535 ~ 1550 ℃,浇注温度严格控制在 1520 ~ 1530 ℃,90% 的钢锭热送均热炉进行 1250 ℃ × 3 h 高温扩散退火处理,并认为钢中 Cr 的均匀分布对碳化物偏析有重要影 响[43,23]。也有资料列举 5 种 GCr15 钢经过 1100 ℃ × 3 h 的扩散退火,可以消除碳化物液析[23]。这些数据的提出,仅提供制定工艺参数时参考。(未完待续)


