周期式轧管变形原理(deformation theory of pilgrim tube rolling process)
关于周期式轧管机轧管的变形过程、咬入条件、前滑、轧制力和轧制力矩的基本理论。周期式轧管是在轧辊变截面孔型与芯棒之间轧制空心毛管。和一般纵轧不同,周期式轧管时轧辊的旋转方向与喂入轧件的方向相反。当轧辊旋转时,孔型尺寸不断改变。
周期式轧管机的轧辊和孔型如图1所示。沿轧辊圆周孔型分为空轧部分和工作部分,它们对应的中心角分别为θx和θo。孔型的工作部分又分为锤头区、定径区(或称研磨区)和出口区3个区,对应的中心角分别为θ1、θ2和θ3。轧制时毛管主要在锤头区(脊部)进行变形。定径区的作用是使钢管获得最终直径和壁厚尺寸。出口区的作用是使轧辊表面逐渐而平稳地脱开钢管。在轧辊的每个横截面上孔型为带直线侧壁的圆孔型。侧壁斜角沿轧辊圆周是变化的,由锤头区开始处最大,然后按线性关系逐渐减小,到定径区则不再变化。
在轧辊孔型的空轧部分,毛管与芯棒一起被喂入轧机送进一个距离,即一个送进量m。随着轧辊继续旋转和孔型尺寸的变化,轧辊逐渐压缩管壁并最后进行定径。由于轧辊的旋转方向同送入毛管的方向相反,轧制时毛管和芯棒随轧辊的转动一起朝反送进方向移动。轧辊转一周后,孔型重新转到空轧部分,喂入机再次将毛管送进一段,与此同时,将毛管旋转90。。由此可看出,这种轧管过程是间歇和重复进行的,故称做周期式轧管。

图1 周期式轧管机的轧辊和孔型
周期式轧管的变形过程 在变形开始前(图2a)弧AC的轧辊表面几乎平行于毛管的母线。当旋转到某一角度后,轧辊和毛管在C点接触,C点相当于咬入瞬间(图2b),这一点的轧辊半径称咬入半径rc它大于轧辊工作部分的最小半径r0。在r0和rn(轧辊工作部分最大半径)之间所有点和毛管的接触都较C点晚。在r0旋到两辊中点线之前,靠轧辊表面压缩毛管壁厚(图2c),这时的变形过程类似在旋转摆动锤下的变形。当r0旋转到中线位置后(图2d)壁厚的减薄靠连续增大(在rn之内)轧辊半径来实现,这一阶段变形类似于纵轧的变形过程。
当rn旋转到轧辊中点线,轧制就进入了定径过程。由于定径区内轧辊半径是不变的,从这时不再有大的变形,轧辊主要起定径和研磨作用,以改善管子的尺寸精度和表面质量。
孔型空轧部分再开始转到轧辊中心连线处时,又将毛管向轧辊送进一个送进量m,重新实现咬入和重复下一个轧制周期。

周期式轧管时的咬入条件 周期式轧管的咬入条件分强迫咬入、自然咬入和引轧咬入3种(图3)。(1)强迫咬入。特点是咬入半径rc落在毛管的母线的某点上,此点到周期头的距离ε>0。这种咬入在生产中很少见到,只发生在送进量过大时。(2)自然咬入。咬入时ε=0,周期轧制稳定过程的特征。(3)引轧咬入。咬入时ε<0,当送进量很小时产生。在这种情况下实现咬入的不是半径rc,而是较小的半径r3。
周期轧制的轧制过程分为两个时期,即未稳定过程时期和稳定过程时期。在开始轧制毛管前端时,一般在轧辊转6~25转后才能形成周期头,这个时期的特征是送进量小,毛管反冲小(即毛管被轧辊压出的距离小),因此毛管旋转角也小(小于正常情况下的90。),这一阶段轧制是引轧咬入。
稳定过程时期的特征是,周期头已完全形成,送进量已达到正常值,毛管旋转角达90。,这时是自然咬入并在喂入机的轴向力Q作用下实现变形(图4)。在自然咬入条件下,毛管和轧辊在C点接触,在C点做一切线,其倾角为φ。
在开始和轧辊接触时,毛管边部被挤压,形成一定的接触面积,产生一个正压力P,正压力的水平分量为Px:
Px=Psinφ
Tx和Px同方向,因此为了实现自然咬入应满足如下条件:


式中Q为轴向力,包括来自喂入机的力、导向装置上的摩擦力和运动体的惯性力。由公式可看出,能否实现咬入在很大程度上决定于φ角,而φ角是由孔型设计确定的。轧辊锤头形状分为钝和锐两种,锐的φ角大,咬入困难,但在稳定过程时期咬入不会有多大困难。
周期式轧管的前滑 周期式轧管时金属与轧辊滑移情况和一般圆孔型轧管一样(见连轧管变形原理),在孔型顶部金属流动速度大于轧辊圆周速度的水平分量;而在侧壁区孔型表面圆周速度的水平分量则大于金属的运动速度。孔型中心有若干点,在这些点上轧辊的水平速度和金属流动速度一致。将这些点连接起来形成一个临界面,在临界面上的轧辊半径Rk称为工作半径(图5):
Rk=R1-rkcosβ
由于rk和φ0(1/4孔型上金属与轧辊接触弧的圆心角)沿变形区各横截面是变化的,故工作半径和滑移沿变形区的分布也是变化的,而且除前滑还可能有后滑。
变形区中前滑区和后滑区的分布如图6。沿轧辊顶部临界面的位置用临界角β0表示。

图6 周期轧管的前滑区(abc区)和后滑区(adefb区)
前滑值也可由直接测定金属速度求出(图7)。前滑值不仅决定于孔型尺寸,且决定于变形量。
由实验得出,工作半径最大值不在轧辊半径最大的锤头压缩区末端,而前于此位置,虽然脊部轧辊半径增加,而工作直径却减小,这可解释成绝对压下量和相对压下量降低造成的。
在定径(研磨)区开始处,展轧金属的移动体积和轧辊的工作半径随着压下量的减小而减小,这个区的长度决定于金属移动体积的数值。定径区其余部分工作半径实际上是不变的,仅仅取决于孔型尺寸。
前滑系数最大值的位置(图7)取决于毛管和管子尺寸,同时也取决于压下量沿轧槽长度的分布和特征,也就是取决于所采用的孔型设计。
周期轧管的最大前滑系数比较大(可达1.5~1.6),这是由于孔型直径d和轧辊直径D之比d/D大造成的,周期轧管机d/D达到0.6,甚至更大。


周期式轧管的轧制力和力矩 轧制力沿轧槽长度上是变化的(图8)。可以把轧制力的分布分成I~V个区域:
I区——从咬入开始到轧辊开始半径rc转出轧辊中心连线,表现为轧制力从零迅速升到(0.5~0.7)Pmax,(Pmax为轧制力最大值)。
Ⅱ区——锤头区。在该区轧制力增加到最大值。最大值的位置取决于轧辊孔型设计和轧制管子的壁厚。在该区始端接触面积达到了最大值,随后由于孔型宽度减小和瞬时变形区压下量的减小,接触面积减小。而轧制单位压力沿锤头区整个长度上都在增加,这和壁厚减小有关。轧制薄壁管时单位压力增加趋势比接触面积的减少更为强烈,所以最大轧制力往往位于锤头区末端。而轧制较厚壁毛管时最大轧制力的位置向锤头区始端移动,这与压下量重新分布有关。因为压下量的分布决定了接触面积的分布,而这时沿轧槽长度上平均单位压力的变化是很小的,即轧制力的最大值位置主要决定于压下量的分布。
Ⅲ区——相当于展轧金属移动体积的区域。随着压下量和接触面积的减少,轧制力降低。
Ⅳ区——相当于定径区末端。在该区中轧制力值变化不大,且较小。因在该区中变形量最小,仅仅是展轧管子表面上的凸起和定径。
V区——相当于轧辊出口区。在该区中轧制力逐渐减小为零。
轧制力的大小在很大程度上取决于轧制温度和送进量,通常同前者成反比而同后者成正比。
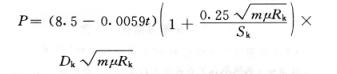
大多数情况下需要确定最大轧制力,它可用舍瓦金公式计算:

式中m为送进量;μ为总延伸系数,μ=F0/Fk;t为轧制温度,℃;Rk为研磨区中孔型顶部轧辊半径;Dk,Sk为轧后管子的直径和壁厚。
周期式轧管机传动轴的扭矩M0由轧制力矩M和轴承摩擦力矩Mf组成,对于一个传动轴:
M0 = M + Mf
Mf = Pfd / 2
式中P为轧制力;f为轴承中的摩擦系数;d为轴承直径。
轧制力矩由两部分组成,即轧制力和克服来自喂入机的轴向力所产生的力矩:
M=Pb+0.5QC
式中b为压力作用点上的力臂;Q为喂入机和惯性力作用的总轴向力;C为轴向力作用点上的力臂。
通过实际测定证明,沿轧槽长度上扭矩变化是不均匀的(图9)。在咬入和锤锻时产生很大的轴向力,这时由于轴向力的作用,扭矩已达(0.7~0.75)Mmax(Mmax为最大的轧制扭矩),而轧制力这时是很小的,对轧制力矩没有重要影响。开始半径转出中点线之后,轴向力迅速下降,而轧制力由于压下量的增加而增大,也导致轧制力矩增加。
当轧辊转角为25。~35。扭矩达到最大值,而这时的轧制力在轧制薄壁管的情况下还未达到最大值;到稍后一些,一般在锤头压缩区的末端才达到最大值。之后,轧制力矩迅速下降,在金属移动体积展轧完之后,轧制力矩就不再变化了。

周期式轧管时单位压力沿接触弧分布也是不均匀的,这就造成合力作用点的位置随着轧辊的旋转由入口截面向出口截面移动,移动值由系数φ来估计(图10):
φ = b / L
式中L为咬入弧长。

根据测定,系数φ与管径、壁厚、送进量以及轧制温度等关系不大。考虑到合力作用点位于临界线上,上式可以改写成如下形式:
![]()
式中Rk为工作半径。
用此公式可以确定轧辊在任何位置上的轧制力矩。计算证明,0.5QRk值在轧槽大部分位置上变化很小,对于203~406mm(8”~16”)周期式轧管机组可近似取等于40kN•m,对152~304mm(6”~12”)机组可取30kN•m。
| |


