关于冷轧管轧管过程、变形和应力状态、瞬时变形区、滑移和轴向力、轧制力等的基本理论。
二辊式冷轧管机的轧管过程 二辊式冷轧管机工作时,其工作机架借助于曲柄连杆机构作往复移动。管子的轧制(图1)是在一根拧在芯棒杆7上的固定不动的锥形芯棒和两个轧槽块5之间进行的。在轧槽块的圆周开有半径由大到小变化的孔型。孔型开始处的半径相当于管料1的半径,而其末端的半径等于轧成管2的半径。

图1二辊式冷轧管机
1-管料;2-轧成管;3-工作机架;4-曲柄连杆机构;5-轧槽块
6-轧辊;7-芯棒杆;8-芯棒杆卡盘;9-管料卡盘;10-中间卡盘;11-前卡盘
在送进和回转时,孔型和管体是不接触的,为此,轧槽块5上在孔型工作部分的前面和后面,分别加工有一定长度的送进开口(半径比管料半径大)和回转开口(半径比轧成管的半径大)。在轧制过程中,管料和芯棒被卡盘8、9夹住,因此,无论在正行程轧制或返行程轧制时,管料都不能作轴向移动。
工作机架由后极限位置移动到前极限位置为正行程;工作机架由前极限位置移动到后极限位置为返行程。
轧制过程中,当工作机架移到后极限位置时,把管料送进一小段,称送进量。工作机架向前移动后,刚送进的管料以及原来处在工作机架两极限位置之间尚未加工完毕的管体,在由孔型和芯棒所构成的尺寸逐渐减小的环形间隙中进行减径和管壁压下。当工作机架移动到前极限位置时,管料与芯棒一起回转60。~90。。工作机架反向移动后,正行程中轧过的管体受孔型的继续轧制而获得均整并轧成一部分管材。轧成部分的管材在下一次管料送进时离开轧机。

图2多辊式冷轧管机
1-柱形芯棒;2-轧辊;3-轧辊架;4-支承板;5-厚壁套筒;6-大连杆;7-摇杆;8-管子
多辊式冷轧管机的轧管过程 多辊式冷轧管机轧制管材时见(图2),管子在圆柱形芯棒1和刻有等半径轧槽的3~4个轧辊2之间进行变形。轧辊装在轧辊架3中,其辊颈压靠在具有一定形状的支承板(滑道)4上,支承板装在厚壁套筒5中,而厚壁套筒本身就是轧机的机架,它安装在小车上。工作时,曲柄连杆和摇杆系统分别带动小车和装在工作机架内的轧辊架作往复移动。由于小车和轧辊架是通过大连杆6和小连杆分别与摇杆7相联结的,所以当摇杆摆动时,轧辊与支承板便产生相对运动。当辊径在具有一定形状的支承板表面上作往复滚动时,轧辊和圆柱形芯棒组成的环形孔型就由大变小,再由小变大地作周期性改变。当小车走到后板极限位置时,送进一定长度的管料并将管体回转一个角度。为了降低返行程轧制时的轴向力以防止两根相邻管料在端部相互切入,一般管料的送进和管体的回转,是当小车在后极限位置时同时进行的。当小车离开后极限位置向前移动时,孔型逐渐变小,进行轧制,在返行程轧制时获得均整。
冷轧管时金属的变形和应力状态 以二辊式冷轧管机轧管为例,在轧管过程中金属的变形过程如图3所示。送料时工作锥向轧制方向移动一段距离m(送进量),相当于管料的Ⅰ-Ⅰ截面移动相同的距离到了Ⅰ1-Ⅰ1,位置,Ⅱ一Ⅱ的截面移动同一个距离m到了Ⅱ1一Ⅱ1位置(图3a)。由于在管料送进的时候,工作锥的内表面脱离了芯棒的表面,两者之间形成了一个间隙c,所以,当工作机架前移,工作锥变形时,在变形区中先是减径,然后是压下管壁(图3b),而且在变形和延伸的过程中,工作锥内表面与位于轧槽块前的芯棒之间的间隙不断增大。同时,工作锥的末端截面移动到Ⅱx一Ⅱx位置。

图3 冷轧管时金属变形
在返行程轧制时,由于轧制前管体回转了一个角度,原来处在孔型侧壁的金属转到了孔型顶部,因而工作锥受到了均整,使任何一个横截面形状更圆,壁厚更均匀。另外,由于变形时其中一部分金属向周向流动的结果,在孔型侧壁和工作锥的内表面管料脱离了芯棒,这样有利于下一次管料送进。

图4 冷轧管变形时的作用力
工作机架回到后极限位置Ⅰ时,一个轧制周期结束,轧成管的一段长度为△LT(图3c):
△LT=πS0 (D0-S0)m/πST(DT-ST)=μεm
式中με为总延伸系数,等于管料截面积与轧成管截面积之比,m为送进量。总延伸系数με和送进量m越大;则△LT越大,反之△LT越小。
冷轧管时,金属是在不断改变着位置和形状的瞬时变形区内变形的。金属在轧辊的正压力P、芯棒的正压力N,来自轧辊的摩擦阻力T以及来自芯棒的摩擦阻力T1的作用下进行变形(图4)。若在金属与轧辊接触的变形区中取一单元体,则其径向主应力σ1、周向主应力σ2和轴向主应力σ3均为压应力,所以冷轧管时,金属变形基本应力的应力状态是三向压应力,但在辊缝处(φ角范围内)轴向承受单向拉应力,见图5。与冷拔管时的二向压一向拉的应力状态相比,这种应力状态更有利于金属塑性的发挥。

图5 冷轧管变形时应力状态沿轧槽分布图
a-正行程;b-反行程
瞬时变形区的结构 无论正行程轧制或返行程轧制,瞬时变形区的出口截面都与工作机架的中心截面相重合。在二辊式冷轧管机上轧管时,由于进入变形区的管体要先减小直径再减小壁厚,因此,瞬时变形区包括由减径角θp和压下角θt构成的两部分(图3b)。在工作机架的行程中θp、θt的大小是变化的。θp与θt之和构成瞬时变形区总的接触角。在多辊式冷轧管机上轧管时,行程的开始阶段瞬时变形区由单一的减径区构成,在行程的其他部分,由于这种轧机使用圆柱形芯棒,瞬时变形区可以认为由单一的减壁区构成。
瞬时变形区变形量的确定 在一般纵轧过程中,变形区的几何尺寸是不变的。所以坯料上的任一个截面都可以一直从变形区的入口移动到出口。变形区进口截面和出口截面的高度差、就是坯料上任一截面连续通过变形区时的压下量,而且是稳定不变的。但在冷轧管时,进入变形区的和离开变形区的管体截面的尺寸是不断变化的,而且瞬时变形区进口截面和出口截面的高度差也不等于工作锥上进入瞬时变形区的截面在一个轧制行程中的压下量。因此,冷轧管时,工作锥上的任一截面在一个轧制行程中连续通过不断变化着的瞬时变形区时所达到的变形量是不相同的,而且确定它的大小也是比较复杂的。在实际计算中,通常是根据各瞬时变形区出口截面的尺寸,确定该截面变形开始时在工作锥上的位置和尺寸,再计算其变形量。这个变形量称为瞬时变形区变形量。瞬时变形区变形量的计算一般以下述原则为基础:设某瞬时变形区的出口截面为Ⅰ-Ⅰ(图6),该截面在通过瞬时变形区时所经受的压下量等于它与另一截面Ⅱ一Ⅱ的高度差,而这两个截面之间所包括的金属体积等于送进的金属体积。图中Rx 、rx和Sx分别为瞬时变形区出口截面的外半径、内半径和壁厚;RΔx 、rΔx和SΔx分别为该截面变形前的外半径、内半径和壁厚。

图6 直角坐标中的一段工作锥
在冷轧管时,主要变形是在正行程轧制过程中完成的;但是,由于工作机架:轧辊等零部件的弹性恢复和轧制前管体的回转,有的轧机还有送进,因此在返行程轧制时工作锥也有一定的甚至较大的变形。
一般可用下列公式来计算正行程轧制和返行程轧制的壁厚压下量

式中ΔSn为正行程轧制时的壁厚压下量;ΔSo为返行程轧制时的壁厚压下量:Vy=(R0+r0)/(Rx+rx)mSx为送进体积率;R0、r0为管料的外半径和内半径;α为锥形芯棒的母线倾斜角;γ为工作锥母线的倾斜角;Kt为计算返行程轧制时变形量的系数,一般可取Kt=0.3~0.4。
一个轧制周期中的壁厚压下量为:
![]()
瞬时变形区的边界和咬入角 为了计算变形时轧辊同轧件的接触面积,必须知道瞬时变形区的前后边界线。周期式轧制时,瞬时变形区的后边界线(出口一侧的边界线)应是一条空间曲线,但实际上和轧机中心面与工作锥的交线相差不大,故一般把后者作为瞬时变形区的后边界线。
瞬时变形区的前边界线(入口一侧的边界线)是空间曲线,它取决于沿孔型周边的变形区各纵截面上的接触角θ0。(图7)

图7 瞬时变形区的纵截面
θ可按下列简化公式计算:
![]()
式中ΔRx为瞬时变形区中的半径压下量;ρ0为轧辊的理想半径;C为孔型周边上不同点处孔型的高度,Rx为瞬时变形区出口截面工作锥的半径。
在孔型的脊部,接触角为:
![]()
式中ρr为孔型脊部轧辊的半径。
若以瞬时变形区的壁厚压下量ΔSx取代上式中的ΔRx,则可得到确定瞬时变形区前边界线上各点接触角的计算公式。
瞬时变形区的接触面积 图8为二辊式和多辊式冷轧管机轧制管子时的变形区及接触面积图示。
文献中有多种计算瞬时变形区接触面积的近似公式。一种常用的计算二辊式冷轧管机轧管时接触面积的方法如下。
图9为借助于计算接触角θ得到的正行程轧制时瞬时变形区接触表面积的垂直投影和水平投影。区域OPLMC为总接触表面积的垂直投影;OPRE=Fys为减壁区接触表面积的垂直投影;B1L1M1NM2L2B2=Fdx用为总接触表面积的水平投影;C1R1PR2C2=Fxs减壁区接触表面积的水平投影。

图8 冷轧钢管时变形区及接触面积图示
a-二辊冷轧管机的变形区;b-多辊式冷轧管机变形区;c-正行程的接触面积;d-返行程的接触面积
1-塑性和弹性变形区;2-弹性变形区;3-管子;4-芯棒;5-轧辊

图9 正行程轧制时瞬时变形区接触面积
a-垂直投影;b-水平投影
先来确定减壁区接触表面积的水平投影。由图9可知,减壁区接触表面积的水平投影可分成两部分:
Fxs=2(Fc1p1po +Fp1R1P)
在孔型脊部C=Rx,面积Fc1p1po用下式计算具有足够的精确度:
![]()
式中C为孔槽深,近似为孔槽宽之半。
面积Fp1R1P=η1 1/2(P1P)(R1D),式中η1 为系数,等于0.85。R1D=(ρ0-Cmin)sin(θtc-θtr),Cmin为孔型周边与工作锥最先接触处轧槽的高度;θtc为孔型脊部减壁区的接触角;θtr为孔型周边和工作锥最先接触处减壁区的接触角。
所以计算Fxs的公式可写成[取sin(θtc-θtr)≈θtc-θtr]:
![]()
由于孔型侧壁的开口角通常为16。~22。,用于工程计算可取Cmin=Rx。/3,所以孔型周边与工作锥最先接触处的总接触角为:

而孔型脊部的总接触角为:
![]()
因此

取 θtc/θtr =θoc/θor =η2
对不同轧机η2波动在1.60~1.70之间,轧机较大时其值较小。
以角θtr表示角θtc,并把所得的值代入Fxs式,可以把Fxs的计算公式写成更简单的形式:
![]()
式中η3为接触面积的形状系数,对于二辊冷轧管机,其值为1.20~1.25;对于三辊式冷轧管机可取为1.10。
相应地减壁区的总接触表面积可按下式确定:
![]()
上两式以ΔRx取代△Sx,则可求得总接触表面积的水平投影及总接触表面积。
轧制过程中的滑移及轴向力 在冷轧管过程中,金属与轧槽表面之间存在着相对滑动即滑移。变形区由前滑区和后滑区构成。轧制过程中,在前滑区作用在金属上的摩擦力(图10中Tx2)的方向和机架移动的方向相反;在后滑区ABc作用在金属上的摩擦力(图10中的Tx1)的方向和机架移动的方向相同。
在没有外加前后张力的一般简单的纵轧过程中,变形区中轧辊作用在金属上的正压力的轴向分量和作用在前后滑区的摩擦力的轴向分量始终是互相平衡的。在这种轧制过程中,轧件的出口速度能根据变形条件而自动变化,相对于一定的变形条件,必有一个相应的出口速度以形成适宜的前后滑区,使这时前后滑区所产生的摩擦力的轴向分量正好与轧辊正压力的轴向分量相平衡。

图10 前后滑区接触面积的水平投影及摩擦力的方向
在冷轧管时,由于轧制过程的强制性,(管料是被固定的而不能作轴向运动)不存在通过改变轧件出口速度调节前后滑区大小的可能。因此,在一般情况下,作用在变形区上各力的轴向分量不能相互平衡,其结果,在变形过程中管体受到来自变形工具的轴向力。有时轴向力还是比较大的。轴向力在工作机架行程长度上的分布是不均匀的,并且最大轴向力往往不与最大轧制力相对应。在正行程轧制时,轴向力可能是压力(方向和工作锥延伸的方向相反)或拉力(方向和工作锥延伸方向相同);在返行程轧制时,一般只出现轴向压力。轴向力过大会对轧制过程产生不良影响,如出现两根相邻管料的端部相互切入,芯棒杆纵向弯曲,轧制过程中工作锥窜动,送进管料时工作锥从芯棒上脱开时的阻力增加,以及送进机构的磨损加剧等。因此轴向力的大小在一定程度上决定着轧机的生产力和能够达到的变形量。
轧制力 在二辊式冷轧管机上,金属作用在轧辊上的平均轧制力可按下式计算:
![]()
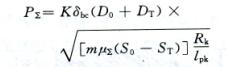
式中Kδ为与轧制时金属加工硬化有关的系数,对钢它可取为1.42;δb50为变形程度为50%时金属的强度极限;D0为管料的直径;DT为轧成管的直径;Rc为轧槽压下段轧辊的平均半径;lc为轧槽压下段的长度;So为管料的壁厚;ST为轧成管的壁厚。在多辊式冷轧管机上,平均轧制力的计算公式为:

式中K为与多辊式冷轧管上变形特点有关的系数,一般可取为1.6~2.2;δbc为变形前后管材强度极限的平均值;Rk为轧制半径;lpk为工作锥压下段的长度。
| |


