淬火过程中的传热特性

有三个值得研究的方面:
1) 传热(随时间变化,归因于零件/淬火冷却介质界面的热交换)。
2) 相变(随时间变化,发生各种相变)。
3) 应力应变(随时间变化,零件内部原子迁移)
因为淬火冷却介质是液体或气体,所以淬火冷却介质的流体动力学对于定义工艺过程中的吸热很重要。图1 中给出了造成不同领域相互影响的原因。例如,冶金领域的变化(每种显微组织容积率的变化)会带来两个改变热领域的影响:相变潜热的释放速率和热物性参数值(取决于温度和相分布)。
每一个方面的初始状态都要尽可能精确。习惯做法是假定淬火的开始温度场是均一的,初始的相变状态可能包括预先形成的渗碳层、原奥氏体晶粒度、碳化物形成元素全部或部分溶解。初始的应力应变状态是奥氏体化之后的残余应力场。
给定的淬火操作能得到的力学性能和变形,是以上各方面在淬火过程中所遵循路径的综合结果。钢淬火的目的是在将奥氏体转变为马氏体的同时,保证变形尽可能小。设计、控制和优化淬火过程有三种不同的方法:经验法、实验室测试和工艺工程。且所需要的专业技术的复杂程度依次增加。同时,产生知识的量也随着增长。对于一个给定问题,这三种方法中的任何一种(或者任何组合)都可能是合适的。
温度高于绝对 “0” 度的所有物体都包含一定量的热能(内能和动能之和), 大小与其温度直接相关,由于温度更容易测量,所以系统的热能状态通常用温度来表征。热电偶是记录材料加工过程中温度变化最常用的工具。热电偶要么放置在零件内部(钻孔插入), 要么直接与零件表面接触。第一种情况下,用各种高温粘结剂将热电偶固定到零件上。在有些研究中,会采取措施来防护热电偶护套和零件之间的热触点。保持热电偶与零件表面接触的方法有两种:内在的和外在的。内在的是材料组成了热电偶环路的一部分,外在的是先将两个热电偶导线焊接起来,然后将连接点 点焊到零件表面。茨曾(Tszeng) 和萨拉夫(Saraf) 阐明,在表面安装热电偶带来的鳍效应会影响测量的温度,因此,他们建立了数学模型来校正它。这个模型能被嵌入一个更一般的零件热有限元模型中。南马可探头(图2 ) 是在探头表面钻垂直于表面的孔来放置热电偶的尖端的。
与温度一样,冷却速度是热处理中很重要的一个参数。它不能直接测量,作为替代,是通过测量冷却曲线将其计算出来的(温度-时间数据)。通常假设冷却曲线在一个较短的时间间隔内为线性变化。根据这个假设,可得近似导数的两点公式:
![]()
(1)
式中,
T-温度;t-时间;ΔT-在一小段时间(Δt)的温度变化。

图2 南马克探头
a) 探头示意图 b) 热电偶细节
考虑到研究的是热响应的量,因此选择合适的数据采集频率是很重要的。Totten等人阐明了频率增加(从1Hz增加到5Hz) 对一个英科镍600圆柱形探头 [Φ13 mm (Φ0. 5in)x100mm(4.0in),几何中心焊接了一个热电偶)冷却速度-时间曲线的影响。他们发现,为得到足够圆滑的曲线需要用最大的频率。数值导数(如用来计算冷却速度的) 趋向于形成粗糙的曲线,特别是当采用两点公式的时候。传热过程会让物体里的温度分布得到改善。无论物体内部还是物体之间只要存在温度差(驱动力), 就会发生传热。传热速度是用热流量表征的,它与热流密度和传热面积有关,即:
Q=qA⊥ (2 )
改善系统热平衡的另一种方法是将热能转化为另一种形式的能量,反之亦然。例如,当电流流经一个有电阻的材料时,一部分电能就会转化成热能并以热量的形式消散,这就是焦耳效应。另一方面,当吸热反应发生的时候,热能会被用来转化成反应所需要的化学能。
因此,流进系统的热量,流出系统的热量,以及转化成其他形式的或由其他形式转化来的热能,结合起来就组成了系统中的热能净变,即:
![]()
(3)
注意:式(3 ) 中所有术语的单位都是[热能/时间], 换言之,表示热能流,尽管通常都称其为热流(并不正确)。
式(3 ) 中的热能转化速度(QG) 也称为热源(一种形式的能量转化成热能)或冷源(热能转化成其他形式的能量)。这个术语说明了显热和潜热的区别:前者意味着由于物体传递了一个净热使温度发生变化[式(3 ) 中A≠0] , 没有热源和冷源;而后者则可能在等温或非等温情况下发生,如果流进系统或流出系统的净热被相变相关的热源或冷源抵消掉则是等温情况[式(3 ) 中A=0] , 如果没有这样的平衡则是非等温情况[式(3 ) 中A≠0] 。
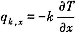
传热有两种基本机理:传导和辐射。传导是指系统中的两个部分通过分子运动进行传热,因此它具有短程作用的特征,需要媒介的存在,它不能在真空中发生。傅里叶(Fourier) 提出的现象规律,通过传导将温度梯度与热流密度联系起来。他发现,热流密度与温度梯度成正比关系,比例常数取决于热量流过的材料。傅里叶定律如下(例如对于x轴方向上的热流):
![]()
(4)
式中,qk,x为 x 轴方向上传导的热流密度;k-材料热导率;T-温度。
![]()
式中,qrad-辐射的热流密度;
σ -常数(5.669×
![]()
);
T-表面温度(K)。
斯蒂芬-玻耳兹曼公式是由黑体表面公式(黑体辐射定律)推导而来的,黑体表面是一种假定可以吸收所有入射辐射的表面。总之,真实表面放射的辐射能要小于式(5 ) 所预测的值。真实表面辐射热能qrad,real的计算公式为:
![]()
(6)
在许多教科书里,还有第三种传热机制:对流。它的发生是基于表面和流动液体之间的相互作用。当液体在外力作用下流过外表面时,称为强制对流;而自由对流则是由密度差造成的液体流动。不论是哪种形式,表面与液体之间的传热实际上都是通过传导和辐射发生的。因此,一些作者认为不应把对流划分为一种传热机制。更确切地说,在这种传热模式下,传热的同时伴随对流。由于同时解决速率和温度场(在自由对流时是耦合的,强制对流时是非耦合的)的问题很复杂,通常用牛顿冷却定律来量化表面和液体之间的传热,即:
![]()
(7)
Tf-液体整体温度,它是热界面层(这里的温度梯度较大)以外的液体温度,被假定为常数。注:许多课本和论文在提到淬火热处理时、用字母a表示传热系数。
可蒸发液体被加热到饱和温度(给定气压下)以上时发生沸腾,导致从液体到气体的相变发生;尽管沸腾通常会伴随着气泡的形成,但是当表面温度足够高时,可能形成蒸汽膜。沸腾的不同模式是按液流的流体动力学和液体相对于饱和点的工作温度来分类的。如果液体是静止的,则称为池内沸腾;如果是由外力造成的液体运动,则称为强制对流沸腾。注意:气泡动力学导致工件表面附近为两种模式的组合。当液体工作温度保持在饱和点以下时,发生欠热沸腾。另一方面,当液体保持在略高于饱和点的温度时,发生饱和沸腾。至于试验研究中或工厂操作中的热力学条件,可能是稳态的(用电力控制或用表面温度控制)或瞬态的。
对沸腾的研究大部分都集中在饱和池内沸腾上。在一项开创性研究中,拔山(Nukiy-ama) 设计了一种电力控制设备,用于描述大气压下静水的沸腾行为。他将一根Φ0.14mm (Φ0.006in)的镍铬合金丝在100℃ (212°F) 的静水中加热,然后将表面热流密度(qs ) 作为相应壁面过热度(ΔTsat, 也就是表面温度和液体饱和温度之差)对数的函数绘制成图。这个图称为沸腾曲线。他观察到,表面热流密度随着壁面过热度的增加而增加,直到达到一个最大值,沸腾曲线有局部极小值,并且在很高的壁面过热度下将发生熔断效应。从他的观察来看,可以在沸腾曲线上定义核沸腾与膜沸腾区域。核沸腾区域涉及形核、长大和气泡分离,它在沸腾曲线的上限处,由表面热流密度极大值定义,又称临界热流密度。另一方面,在膜沸腾阶段,蒸汽膜覆盖表面。临界热流密度在核反应堆设计中至关重要。
拔山的试验是在稳态条件下进行的,控制流经镍铬合金丝的电功率,也就控制了表面热流密度。在这种试验条件下,是不可能观察到核沸腾与膜沸腾之间的区域的。池内沸腾条件下的完整沸腾曲线如图 3 所示。由于动力学因素限制了气泡成核,因此需要少量的过热度(区域 I ) 来促使气泡形成。

池内沸腾的液流主要受气泡的运动所驱动、而在强制对流沸腾中,整体运动连同力效应是造成液体流动的主要原因。对给定的欠热沸腾、当液体流速增加时,吸热也在增加,如图4 所示。

▲图4 强制对流沸腾与池内沸腾的对比
比池内沸腾所能提供的冷却速度更高的需求,促进了基于强制对流沸腾的效率更高的冷却方案的发展。在冶金工业中、喷液冷却用在铝合金的压力淬火上,是因为它加快了沸腾曲线所有区域的传热速率。喷液冷却被用在输出辊道(轧后冷却)上,以得到高吸热速率,使铁素体晶粒细化,从而使所生产的钢具有更高的强度。在钢的连铸过程中,铜模与冷却水之间通过强制对流发生热交换,这加强了向冷却液体的传热,避免了模温过高,否则会导致浇注缺陷。强烈淬火过程是基于高搅拌淬火冷却介质的,完全抑制了膜沸腾。其中,射流冲击是一种非常高效的强制对流工艺。
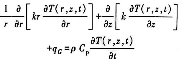
淬火时,显微组织的转变得到最终的显微组织分布,但是也改变了探头内的热平衡状态。在淬火时,钢中所有固态转变都是放热反应、也就是说发生相变时都会放热。从奥氏体向其他显微组分 k 的相变,其单位体积释放热(q G,k) 与相交率成正比关系,即:
![]()
(8 )
ΔH -单位质量转变焓:
fk-显微组分 k 转变的比例。
单位体积释放热与热能转换速度[ 式(3 )中的QG]之间的关系是:
![]()
(9 )
在热处理条件下、局部热能转换速度通常超过局部净热流参考 [式(3 ) ]从而导致相变阶段温度-时间曲线上斜率的改变。在加热的时候,向奥氏体的转变是吸热的,导致升温速度有轻微降低,这是因为热量被转变吸收了。
与此相反,在冷却过程中,转变是放热的,也就是说,释放热量,导致温度升高,这被称为再辉现象。例如,图5 构造了一条冷却曲线,是将Φ1.6mm (Φ1/16in) 的K型热电偶安装在一个Φ12.7mm×50.4mm ((Φ0.5in×2.0in) 的 AISI 4140钢制圆柱形探头中心线上,并将探头在室温氧化铝和空气的流态床中淬火。

通常用流化数(实际气流速度与最小流化速度的比值)来表征流化床反应器的流化程度。图5 里的最终流化数是1.4,表明通过流化床的实际气流速度是实现流化所需的最小速度的1.4 倍。在淬火初期,温度单调降低。大约在320℃ (610°F) 左右,斜率有了明显的改变。这是因为奥氏体向马氏体转变释放的热量超过了淬火冷却介质的吸热能力。如前所述,冷却曲线上的这种改变称为再辉现象。到转变未期,放热速度被吸热速度补偿掉,度单调降低,直到达到流化床时工作温度。新在
T-局部当前温度;
Ms是马氏体转变开始温度;
β=0. 011℃E-1
扩散型转变(奥氏体转变为铁素体,珠光体或贝氏体)发生在高温区域,考虑等温转变情况,可以用约翰逊-梅尔-阿弗拉密-柯洛姆戈洛夫(Johnson- Mehl-Avrami-Kolomgorov) 公式进行数学计算:
(11 )
b和n是试验确定的参数。
根据式(9 ) 、式(10 ) 和式(11 ) , 显而易见,奥氏体在淬火过程中分解的热能释放速度取决于相变速度,实际上取决于当前温度。因此,热和显微结构是强耦合的(图1 ) 。相变动力学与温度和时间之间的关系已由 TTT 图给出,如图6 所示。

▲图6 TTT示意图
标志性的“鼻尖”是高温转变中形核和长大竞争的结果。奥氏体向马氏体转变开始和结束的温度称为马氏体转变开始和结束温度(分别用 Ms 和 Mf 表示)。这类图是在等温条件下进行试验所得到的图,故也称为等温转变图。然而淬火是一个非
等温过程,因此常在连续冷却转变图(CCT )而不是 TTT 图上叠加一条测得的冷却曲线来大概地预测最终显微组织。CCT图是根据气体冷却试验得到的数据来绘制的。然而,通常淬火时的冷却条件与气冷的条件有很大不同,因此,如果用 CCT 图来做定量预测的话必须谨慎。
三、液体淬火传热


▲图8 润湿行为和传热系数α
沿金属探头表面的变化
a) 浸入冷却 b) 薄膜冷却
3.1 再润湿
根据时间确定了润湿锋的位置之后,通过拟合曲线就可以估计润湿锋的速度。例如,将末端为圆锥形的圆柱形探头淬人流速为0.2m/s (0.7ft/s) 的水中(水流与探头长度方向平行)并进行拍摄,根据从拍摄记录里提取的照片可以知道润湿锋的位置,埃尔南德斯-莫拉莱斯(Hernandez-Morales) 等人拟合了一条回归线,如图9 a) 所示。一种衡量线性回归优度的办法是使用判定系数(R2 ) 。如果它的值接近1, 则说明因变量与自变量之间有很强的线性关系。图9 a)中R2的值为0.994, 这说明润湿锋位置与时间之间的关系可以假定为线性的,因此,润湿锋速度在此例中是不变的。采用同样的方法,润湿锋速度可以计算成浴温的函数(图9 b) )。

润湿锋速度与浴温之间的关系是非线性的,润湿锋速度随着浴温的升高而下降,因为这种情况下蒸汽膜更稳定,所以需要更长的局部再润湿时间。由于相同的原因,局部莱登弗罗斯特温度随着水温的增加而降低(意味着蒸汽膜更稳定)。
除了摄影的办法,还有替代的办法来描述润湿锋的运动。坤策尔(Kunzel ) 等人注意到,零件表面与一个反电极之间的电导率和蒸汽膜破裂直接相关。他们在一个Φ15mm×45mm (Φ0.6in×1.8in)的圆柱形铬镍合金探头的中心安装了一个热电偶,然后测量与探头同心的圆形背板电极与探头之间电导率的变化。在对沸水进行试验的初期,他们测得出的电导率很低,这是因为蒸汽膜不仅是一种好的热绝缘体,也是一种好的电绝缘体。随着再润湿过程的开始和润湿锋的移动,摆脱水膜的表面积逐渐增加,测得的电导率也随之增加。因而,对温度与电导率的同步测量,允许测量再润湿开始的时间和温度,以及在给定时间探头表面润湿的比例。根据这
要注意,在他们的试验中,采用了一个具有光滑表面的探头(图10 ) 。

再润湿开始的时间(t s, 由测量的电导率来确定的)比心部测得的冷却曲线斜率发生变化的时间(t s) 早。这是探头表面与其心部之间热阻导致的直接结果。这个热阻延迟和抑制了对探头表面发生的状况的热响应。当表面光滑度降低之后(如在表面加工一些螺纹)。试验时蒸汽膜破裂早得多。但润湿的表面只有螺纹的顶部部分。因此,测得的电导率增加得很慢,直到没有气泡被螺纹捕获。他们还研究了液槽搅拌和欠温的影响。发现当任一变量增大时润湿持续时间都会减少。此外,他们还测量了将 Ck45 钢从880℃ (1615°F)在50℃ (120°F)水中淬火的最终硬度。他们观察到沿探头试样的硬度分布与润湿锋运动一致。

▲图11 银球淬火
a)冷却速度随时间变化
b)宽波段声音数据
c)窄波段声音数据

通过摄像记录(30帧/s ) 和冷却曲线测量 [将Φ0.5mm (Φ0.02in ) 的铠装热电偶安装在探头表面以下大约1mm (0. 04in) 处的方法,弗雷里希斯(Frerichs ) 和吕本(Lubben ) 研究了中空和非中空圆柱体的再润湿行为。探头是用303不锈钢制成的,直径为50mm (2in) , 长度为100~200mm (4~8in) 。探头有中空部分和非中空部分。将探头在N2 保护气氛下加热到850℃ (1560°F), 然后淬入 80℃(175°F)的130L静止高速油中(国际标准速率277 ) , 并确保淬火冷却介质不会填满(填充)探头的中空部分。
一个底部实心上部中空的复合结构探头的润湿锋运动如图13 所示,两个部分都没有螺纹。

探头浸入淬火冷却介质之后,润湿锋从底部向顶部(探头的实心区域)前进。在8s 时,中空部分的再润湿瞬间发生。在大约10.8s时,两个润滑锋会合于长度方向上的一点,这正是实心和中空部分的交界处。从这个结果看,很明显,实心部分的量(因为是实心的,所以储存的热量多)在再润湿时起到了重要的作用。固体部分提供的热量越大,润湿锋的速度就越慢,这允许中空部分在前进的润湿锋抵达中空部分之前冷到蒸汽膜无法维持的温度。根据他们所有的试验,作者总结出润湿锋的形成需要形核点,如边缘或表面奇异点。对于实心部分,作者通过二阶多项式,将润湿锋的位置拟合成一个时间的函数,这表明实心部分润湿锋的速度并稳定。


就会观察到局部最小热流密度——第二临界热流密度(qcr2) 。
3.2 热温度场
式中,qG是单位体积的生成热;
式中,Lc 是与热传导有关的特征长度。
习惯上假定初始温度场是均匀的,因此在区域 Ω 内T 为常数。
式中,
是边界表面向外的法向。如果式(16 ) 的右侧等于零,则称为齐次边界条件,简化了控制方程的解析解。从实用的角度,齐次边界条件只发生在对称平面,在这种情况下,诺伊曼(Neumann) 类边界条件总是齐次的。
四、活跃的传热边界条件
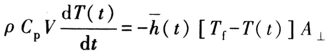
在许多研究中,用牛顿冷却定律来计算传热系数的[式(6 ) ] 。用液体欠温冷却来计算传热系数已成为习惯做法,其计算公式为:
(17 )
Tf -淬火冷却介质整体温度。
但是,科巴斯科提出了异议,他认为应该用表面温度与淬火冷却介质的饱和温度之差来计算,即:
(18)
为了区别二者,科巴斯科将式(17 ) 和式(18 ) 的值分别定义为有效传热系数和实际传热系数。笔者认为,应该放弃使用传热系数,而使用表面热流密度。后者是一个直接表征零件表面散热情况的物理量。并且由式(17 ) 或式(18 ) 也可以看出,传热系数的计算需要已知表面热流密度。另外,要想用表面热流密度代替传热系数来作为边界条件,淬火过程建模的计算机代码也很容易更改。
通过测量局部的热响应来估计一个活跃的传热边界条件的数学问题称为热传导反问题(IHCP ) ,与之相反的是热传导正问题(DHCP ) (在给定初条件和边界条件的情况下计算热领域演绎)。在几种情况下淬火时需要解决IHCP问题。观念上,人们对估算热处理车间实际淬火的活跃传热边界条件感兴趣。但是,对于实际几何形状复杂、尺寸大的零件,会导致零件表面的传热边界条件的空间分布随时间而变化,这时可能就需要求解三维(即三个方向的热流)的 IHCP了。另外,相变的发生,如奥氏体向马氏体的转变,使 IHCP 的求解变得更加复杂化。许多研究人员并不去检测实际零件,而是集中精力研究几何形状简单的相对小的零件或探头在实验室级设备里的散热,此时只有二维热流甚至是一维热流的IHCP问题。在许多情况下,材料在淬火时不发生相变。而且在特定条件下,探头内的温度梯度甚至可以忽略。
4.2 可以忽略温度梯度的物体
式中,q (t) 是随时间变化的表面热流密度;
式中,h (t ) 是随时间变化的传热系数。注意:由于假设了固体中的温度梯度可以忽略,通常在式(20 ) 右边方括号内出现的表面温度就用T (t) 代替了。式(19) 和式(20 ) 需要定义初始条件,例如:
T (t) =T0,t=0 (21 )
式中,T0 是初始温度。

▲图16 日本工业标准银探头
物理性能时,传热系数曲线没有表现出明显的区别,但是当在计算中使用温度依赖性热物理性能时,测得的冷却曲线与计算得到的冷却曲线的一致性要好得多(图17 b)。

▲图17 采用不同方法得到的
传热系数的冷却曲线对比
a)作为表面温度的函数估算的传
热系数 b) 测得的与估算的h 条
件下计算得到的冷却曲线对比
4.3 有温度梯度的物体
大多数用于描述淬火过程散热情况的探头都是圆柱形的,其长径比应大于 4, 从而确保没有边缘效应。基本上,传热可以假定为一维的。如果润湿锋出现,且有一定的速度,则说明零件在轴向上有明显的温度梯度,此时必须考虑二维热流。但是,为了保持后面的方程式尽量简单,缓慢移动润湿锋的情况将不做分析。按一维热流假设,探头的控制方程如下:
(22)
式中,α=k/ (ρCp ) 是热扩散系数。在中心线上,温度曲线是均匀的,这意味着温度的空间导数等于 0 。在固-液界面,液体的吸热用表面热流密度或者传热系数表征,初始条件认为是均一的初始温度分布。
式中、Y1 (t )是测得的热响应。从数学的角度看,IHCP 是一个不适定问题,换句话讲,它的解法不具有条件的存在性、唯一性和稳定性。而且 IHCP 的解法对测量误差很敏感。因为这些特点,大多数具有技术重要性的 IHCP 需要专门的技巧来稳定解法,以得到物理上可信的结果。需要指出的是,所有这些技巧都是将相应的 DHCP 看作 IHCP 算法的一部分。因为活跃传热边界条件通常是高度非线性的,DHCP 不能得到解析解,人们必须求助于数值解法,如有限差分法或有限元法。IHCP 的数值解法可以按顺序估算传热边界条件,也就是说,针对每一时间步长估算一个单独的值,同时估算出全域的传热边界条件的所有值。必须强调的是,IHCP的解只能给出一个估计值,不可能计算出精确的数字。解决IHCP有三种基本方法:函数设定、正则化和迭代正则化。
式中,Y 是测量温度;T是相应的计算温度;J 是热电偶数量;r是将来时间步长数;下标 j 和 i 分别代表热电偶数量和局部将来时间步长。
对于单独的热电偶(J=1),或式(24)可简化为:
(25)
(26) 或
(27)
或 h时不必去迭代。同时,一个在
和
之间的恒定表面热流密度被用来估算
。这个算法的核心是下面的显式方程,用它来估算只用一个热电偶的情况下,
时间的表面热流密度的值。
(28)
其中
(29)
式中,XM+i+1 是灵敏度系数,其公式为:
(30)
一旦被计算出来就成为下一时间步长的基准点,也就可以估算出暂定值
。重复这个步骤,直到达到总时间。为了提高精确度,可以采用小于试验的计算步长。
(31)
式中,qi 是在时间 ti时估算的表面热流密度;l 是时间步长总数,即总时间域。不用最小二乘法,通常用伴随共轭梯度法来使S最小化。
迭代正则法也是一种采用共轭梯度法的全域技术。最小化函数的形式是
(32)
贝克等人用试验数据对比了前面提到的三种方法。试验装置包括一个0.86mm (0.034in) 厚的云母加热器(其中心有一个非常薄的平面电加热器),加热器与一个复合材料试样接触,试样另一端是绝缘的。将在云母/试样界面上测得的试验热响应作为输入,对比了求解IHCP的三种方法,下面的均方根(rms) 表达式可以估算算法中采用的近似值产生的误差
(33)
应该指出的是,一般情况下,表面热流密度的真实值是未知的。但是,在这种特别的试验装置中,通往云母加热器的电流可以控制,因此进入试样的热流密度(qi ) 是已知的,具有很高的精确度。很显然,这不是普遍情况。虽然三种方法的结果相似,但顺序向前选择算法从概念上讲更简单,也更容易延伸到其他所关注的问题上。
也有其他方法用来解决 IHCP。桑切斯-萨缅托(Sanchez-Sarmiento) 等人假定传热系数与时间成线性或多项式关系,用最优化技术估算传热系数历史。科巴斯科等人根据孔德拉特耶夫理论、广义比渥数及测得的给定温度下的心部冷却速度,来估算在植物油里淬火时的有效传热系数。
关于热电偶在探头或零件中布置的设计,也可以采用两点法。通过灵敏度系数的概念,可以发现放置热电偶的最好位置是尽可能接近活跃边界条件。这与热电偶和零件表面之间的热阻较低的推论一致。热阻较低则减轻了信号的迟滞和阻尼效应,而信号的迟滞和阻尼效应会严重影响IHCP算法的效果。探头在测试区域里总会对该区域造成影响。李(Li) 和韦尔斯(Wells) 发现热电偶相对于活跃表面的方向对估算的表面热流密度有显著影响。热电偶以与活跃表面成90°角的方向插入会对估算表面热流密度造成很大的误差,而与活跃表面平行插入时就不会这样。他们还推断,当比渥数很大时,应该将孔(放热电偶的孔)考虑成相反的热导模型。在

▲图18 估算的表面热流密度
作为估算的表面温度的函数
注:在求解热电偶平行插入或垂直插入活跃
传热表面热传导反问题时,分别用实际热电
偶深度(TD) 和等价热电偶深度(ED)
4.4 有内发热的物体
(34)


很显然,在估算的表面冷却曲线上观察到的再辉现象归因于奥氏体向铁素体以及(尤其是)奥氏体向贝氏体的转变。研究的主要目标是估算表面热流密度并解释其行为。估算的表面热流密度与估算的表面温度的关系,以及估算的 AISI 1050钢探头淬火过程冷却曲线如图21 所示。

图中最需要注意的是表面热流密度曲线出现了两个峰值。第一个峰值1.6MW/m², 出现在大约 650℃ (1200F)时。对照探头表面上体积分数的转变(图20 ) , 很明显,这个局部极大值是由奥氏体向铁素体转变开始导致的,而之后的奥氏体向贝氏体的转变阻碍了估算的表面热流密度的增加,导致表面热流密度曲线上的冷却速度局部降低。转变一旦结束[大约在550℃ (1020°F) 时], 热流密度曲线再次上升,直到达到第二个极大值(1.8MW/m² ) , 这发生在350℃ (660°F)时。因为在这一温度下表面没有相变发生,所有第二个极大值只与淬火冷却介质自身的吸热特点有关。在100℃ (212°F ) 时可以观察到一个小得多的局部极大值(0.6MW/m² ) , 大概对应于水的沸点。从这些结果来看淬火过程的吸热是传热和相变动力学之间错综复杂的相互影响的结果。
他们将圆柱形 AISI 4140钢探头[Φ12.7mm×50. 8mm (Φ0.5in×2.0in) ] 分别在低于和高于奥氏体化温度下淬火以得到综合的热流密度历史曲线。通过仔细选择用于IHCP的冷却曲线片段,能够解决不包括相变的问题。
4.5 检验
end
相关文章
有一种热处理方式叫 “逆淬火” !一起了解 “逆淬火” 工艺!!
为什么看《热处理手册》后选用油淬火42CrMo轴淬火后还断裂?
(本平台"常州精密钢管博客网"的部分图文来自网络转载,转载目的在于传递更多技术信息。我们尊重原创,版权归原作者所有,若未能找到作者和出处望请谅解,敬请联系主编微信号:steel_tube,进行删除或付稿费,多谢!)

