文章研究了在包钢铜管公司 60 mm PQF 连轧机组生产的 20 优质碳素结构钢无缝钢管,针对轧态无缝 管屈服强度偏低的情况.从材料的规格 化学成分、力学位能以及它们的相关性分析了屈服强度偏低的原因,并提 出改进锚施,保证钢管的质量 关.词 :20#钢; 屈服强度;无缝钢管
Abstract: In the seaml slee tuhe of No. 20 higb ality carbon ur slee] whic.h uced byφ4ωmm PQF conlinuous rolling mill in Baolou Sleel is studied. Aiming al lhe situalion Ihat the yield strength o( rolled seaml tube is low. Ihe aωes of the low yield 阳.ngt are a.nalyv,ed from the material ific81 t chemical pos llon. mechanical proper1ies and their correlalion. And Ihe improvemenl me8Sures are pUI forward 10 ensure the quaJity of the 81ecl lube. Key words: No. 20 sl创; yield strength mless steel tube
20 钢属于优质碳素结构钢,该钢的强度低 性、塑性和焊接性均好,不经过热处理,轧态使用,被 广泛运用于 般的机械制造业中不太重要的零部件 以及建筑结构中,具有稳定的市场份额[门,但包钢 mm 机组在生产过程中 发现多个批次多种 格出现屈服强度低于 8163 ,<输送流体 用无缝钢管 标准下限的要求 ,导致部分产品需 经过正火后性能才能满足要求,造成了该钢的制造成本偏离,针对这种情况 从材料的规 学成分、 组织等多个方面和材料性能影响关系进行检验分 析,并提出了相应的改进措施和建议 1 技术要求 1. 1 GB/T 8163 20 铜成分要求(见表 ( 2)

2 无缝钢管屈服强度偏低原因分析 GB/ T 8163 20 铜性能要求(见表 (2)

化学成分统计 按照 8163 输送流体用无缝钢管 20 钢成分要求,包钢钢管公司 φ46 mm 机组 产的 20 钢的主要元素为 Si Mn ,不含 Cr Ni Cu 等合 金元素 因此,对其主要强化元素 Mn 成分进行 统计分析,共计 536 个样本数据,结果见图 2

从成分统计中 可以看出, 集中分布在 0.18% - 0.21 %之间, Mn 集中分布在 0.45 以下,全部满足标准要求,出于成本考虑 ω[M 钢控制偏标准要求的下限
3. 性能和壁厚影响关系统计
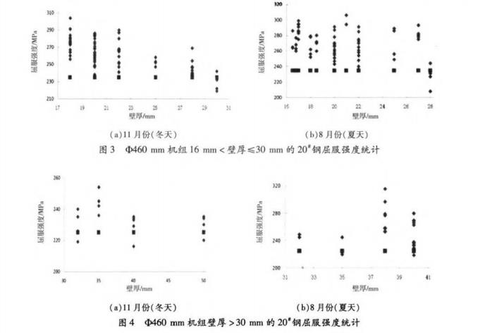
根据标准可知 对于不同的壁厚,标准对材 料屈服强度要求不一样,而且北方冬天和夏天温 较大,冬天轧制和夏天轧制后的铜管冷速存在 别, 可能会对材料性能有一定的影响,因此 分别对 ωm 机组冬天(1 月份)和夏天 (8 月份)生产 20 分壁厚运 16 mm , 16 mm <壁厚运 30 mm >30 mm 的屈服强度进行了统计见图 、图 、图 (图中方形表示国标数值 菱形表示实际检测数 值) φ460 mm 机组生产的 20 所有的抗拉强度 和延伸率都满足标准要求,在这里不做统计。


从冬天 φ460 mm 机组 20 钢屈服强度统计 可以看出,壁厚 <30 mm 材料屈服强度有极个别低 于标准下限要求的现象出现,概率约为 2%o( 样本数 1 185 个) 但壁厚兰 30 mm 材料的屈服强度低 下限要求的现象明显增多,检验不合的概率约为 17% (样本数相对少共计 25 个样本数据) ;从夏 生产 钢屈服强度统计可以看出,壁厚 <30 mm 料屈服强度有极个别低于标准要求下限的现象出 现,概率约为 4%咽(样本数 648) 但壁厚兰30 mm 料的屈服强度低于下限要求的现象明显增多,检验 不合的概率约为 2.5% (样本数相对少共计 26 样本数据) 总的来说制60 mm 机组生产 钢夏天和冬天 情况基本 致,随着壁厚的增加,屈服强度不合现象 明显增多,壁厚 <30 mm ,屈服强度偏低的情况非常 少见,属于个别现象,但也应当看到,材料的屈服强 度都偏标准要求的下限 但壁厚兰30 mm 20 钢, 屈服强度偏下限的现象增多,屈服强度不合概率达 到了约 59
4.组织检验
包钢钢管公司 59 mm 机组生产铜管以小规 格薄壁为主,φ460 mm 机组生产的钢管以大规格厚 壁为主,从现场抽取化学成分 ω[C] 0.18% - 0.21% 之间, Mn 含量在 0.45% 以下的炉号,分别从 φ159 mm 机组和 φ460 mm 机组取规格为 76 mm x4 mm φ406mm x40 mm 对比样进行了 组织性能检验对比 两个规格组织相片见图5,图6, 图7.


不同规格下 20 钢的性能和组织对比见表 ,从材料性能可知, 159 mm 机组生产小规格 φ76 mmx4 mm 20 屈服强度比 φ460 mm 机组 生产的大规格 φ406 mm x40 mm 20 钢屈服强度 高约 70 MPa 组织都为 + φ76mm x4mm 钢管 晶粒度为 10. 级, φ406 mm x40 mm 钢管品位度为 4.5 级,两者相 级,这是因为钢管规格小,壁厚 薄,轧制过程中钢管的降温快,终轧温度低,同时 76 mm x4mm 钢管用 φ180 mm 型轧制 压缩比 28 φ406 mm x40 mm 钢管用 φ460 mm 型轧 制,压缩比为 3.6 ,因此轧制 φ76 mm x4 mm 钢管的 压缩比轧制 06 mm x40 mm 钢管压缩比大的多, 单道次轧制过程中压下量大使铜管发生动态再结 ,两者导致 76 mm x4 mm 钢管比 φ406 mm x 40 mm 钢管组织要细的多 ,从而使 φ159 mm 组轧 制的 20 钢比 φ460 mm 机组轧制的 钢屈服强度 高得多 同类比较 φ406 mm x40 mm 铜管合格与 不合格的力学性能及金相组织,也可以看出在这种 由于晶粒细化提高屈服强度的规律。

5 结论
( 1 )由于 φ460 mm 机组壁 <3 mm 20 出现屈服强度偏低的情况少,但也是偏标准要求的 下限居多 从成本考虑起见,只将 C] 的范围改成 0. 19% .23% 按标准要求上限控制, Mn 的成分不 变,成本无需增加还能提高钢的强度
(2) φ460 mm 组生产壁厚兰 mm 20 钢, C] 范围改为 0.19 -0. 23% Mn 范围调整为 O. 45% - O. 65% ,按标准成分要求的上限控制,利用 强化元素提高钢管的屈服强度
(3) 加热炉不同区域加热温度尽可能控制在1 230 'c以下,降低钢管的终轧温度;轧制过程中, 定径后水冷巷道全开 ,床上风机全开,提高轧制后的 冷速,细化晶粒提高强度。
参考文献
[1] 适登尧,~娟 .20 号铜管外折叠研究 .特钢 技术, 28(3) :1 8 -20.
[2] GB/T 8163 2008 ,输送流体用无缝钢管 [S] .
[3] 杨建平,李雪洁. Q345B 铜板拉伸性能不合格 原因分析 1] .理化检验, 2014 38( 1) :26- 29.
以上文字内容 因为是 PDF 文字识别,出现了 很多错误,要阅读原文,请下载原文PDF文件。
下载网址如下:
无缝钢管屈服强度偏低原因分析 ---->https://main.josen.net/zb_users/upload/2021/01/20210105155648160983340849446.pdf


