什么是硬度?
硬度,顾名思义,软硬程度,就是材料抵抗变形或破坏的能力,是热处理行业最常用的指标之一。它没有确切的物理意义,是一个力学性能的综合性指标,一般来说,材料的硬度越高,抗拉强度越高,耐磨性越好。
硬度的分类

几种常用的硬度测试方法:
布氏硬度(HB)
将一定直径的硬质合金球以一定的试验力压入被测材料表面,并保持规定的时间,卸载后测量表面压痕的直径,计算出布氏硬度值。计算公式如下:


图1 布氏硬度测量原理图
表示方法
标准表示方法包含信息:硬度值、测量方法、压头种类和直径、载荷及保持时间。例如:500HBW1/10/20,表示用1mm的钨质合金球压头在98.07N的压力下保持20s后测定的布氏硬度值为500。若未标明载荷保持时间,表示10-15s。
注意点:
试样表面平坦光滑,无氧化皮、油脂等污染物;
测量上限HB650
试样厚度至少为压痕深度的8倍,若试样背面出现变形,说明试样太薄;
淬火钢压头在GB/T231.1-2002后已取消使用。
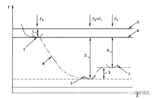
洛氏硬度(HR)
洛氏硬度通过测量压痕塑性变形深度计算出硬度指标,通常,被测样品表面较小或者HB>450时,采用洛氏硬度测量。测量范围涵盖常用的所有金属材料,其计算方法为:将特定的压头按照规定分初试验力(F0)和主试验力(F1)两次压入试样表面,初试验力加载后,测量初始压痕深度,主试验力加载并保持一定时间后,卸载主试验力并测量最终压痕深度,通过如下计算公式得出HR。

其中,h——最终压痕深度与初始压痕深度之差;
N、S为常数,取值参考标准GB/T230.1。

图2 洛氏硬度测量原理图
其中,
X——时间;
Y——压头位置
1——初试验力F0下的压入深度;
2——主试验力F1引起的压入深度;
3——卸除F1后的压入深度;
4——残余压痕深度h;
5——试样表面;
6——测量基准面;
7——压头位置;
8——压头深度相对时间的曲线。
表示方法
标准表示方法包含信息:硬度值、测量方法、洛氏标尺、使用球形压头的类型。例如:80HR15TW,表示用碳化钨合金球压头按照15T标尺测得洛氏硬度值为80;若未标明压头类型,则为金刚石圆锥型,如:62HRC,表示使用金刚石圆锥型压头按照C标尺测得洛氏硬度值为62。
注意点
试样表面平坦光滑,无氧化皮、油脂等污染物;
需根据材料具体情况,选择合适的测量标尺;
对于金刚石圆锥压头测试,试样厚度至少为残余压痕深度的10倍;对于球压头测试,试样厚度至少为残余压痕深度的15倍。背部不可有变形压痕。
维氏硬度(HV)
维氏硬度是将特定的正四棱锥体金刚石压头用一定的试验力压入试样表面,保持一定时间后,卸除力测量表面压痕对角线长度计算出得出的硬度指标。根据测试试验力的不同,可分为:维氏硬度(F≥49.03N)、小力值维氏硬度(1.961N≤F<49.3N)和显微维氏硬度(0.09807N≤F<1.961N)。计算方法如下:

其中,d=(d1+d2)/2


图3 维氏硬度压痕及示意图
注意点
试样表面需抛光处理;
试样厚度至少为压痕对角线长度的1.5倍,背部不可有变形压痕。
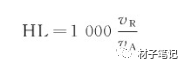
里氏硬度(HL)
常用的布、洛、维硬度计,由于体积较大,不便在现场使用,而里氏硬度计是一种便携式硬度测试,受空间影响较小。它是用一定质量的冲击体在一定弹簧弹力的作用下以一定速度垂直冲击试件表面,这种冲击力使被测材料表面产生了塑性变形,形成了一个压痕,损失掉一部分动能(被测材料越柔软,失去的动能越多),回弹至距试样表面1mm处的回弹速度(vR)与冲击速度(vA)的比值计算得出硬度指标。公式如下:

里氏硬度可以应用于多种零件,相对于肖氏硬度计,里氏硬度可在任意方向上测量,很大程度上方便了使用者。

图4 里氏硬度计原理图


