液压系统中钢管的尺寸和壁厚设计计算

在设计液压系统时, 需要优化设计, 以实现最小的压力降。选择正确的液压软管或硬管是非常重要的。软管和硬管需要适当的直径, 长度, 平滑度和形状来适应液压流量的要求。尺寸太小的软管或硬管会引起湍流和过热。过大的软管或硬管会增加系统的成本, 尺寸和重量。
要了解什么是液压软管和管道的"正确的尺寸", 需要首先了解流体和摩擦的性质。当流体流动时, 就会失去机械能, 以克服流体中的粘性作用力。在液压系统中, 这种损耗被视为流动方向的压降。
液压管路中摩擦系数很大程度上取决于管路内壁的光滑度,摩擦系数对压力损失影响很大,一般认为液压类管路内壁是比较光滑的,设计人员根据多年的经验,总结出了液压流体在油路中比较合适的流速推荐值:
表1.推荐液体流速

管路内径的确定
液压油路中流量可以根据执行机构所需的流量进行估算,流速采用推荐值,这样就可以确定管路的内径了,管路内径计算公式如下:
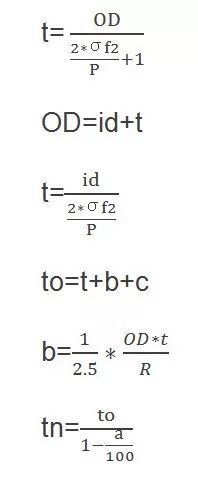
Q=每分钟流量(L/min)V=流速(m/s) K=21.2025(常数) d=油管内径(mm)则内径d

设计计算管路壁厚
管路的直径(内径)确定后,需要计算钢管的壁厚,以确保管路的安全并使材料的利用率达到最佳,这里介绍两种计算方法,德国标准和挪威船级社标准。
依照德国标准计算
P=管路最大工作压力(MPa)
OD=钢管外径(mm)
a=管路厚度制造公差(=±10%)
σb=材料抗拉强度(MPa)
σ0.2=材料屈服强度(MPa)
t=所需钢管的最小厚度(mm)
tn=钢管公称厚度(mm)
s=安全系数(见表1)
σf2=材料许用强度(MPa)
id=管路内径(mm)
表2.材料安全系数
材料拉断伸长率
材料安全系数s>25%1.5=20%1.6=15%1.7

依照挪威船级社计算
P=管路最大工作压力(MPa)
OD=钢管外径(mm)
a=管路厚度制造公差(=±10%)
b=折弯余量
c=液压管路腐蚀厚度(0.3mm)
σb=材料抗拉强度(MPa)
σ0.2=材料屈服强度(MPa)
t=所需钢管的最小厚度(mm)
to=包含折弯余量和腐蚀余量的钢管厚度(mm)
tn=钢管公称厚度(mm)
σf2=材料许用强度(MPa)
id=管路内径(mm)
R=折弯半径(mm)


举例:
现有一液压系统需要设计压力油路的管路,管路外露,需防腐,选用硬管设计,流量要求20L/min,最大工作压力22Mpa,试选用合适的管路。
根据要求,选用304不锈钢流体输送无缝管,依据表1选取液压油路中流速V=5m/s
则油管内径d

经查GB/T14976不锈钢,拉断伸长率大于等于35%,σ0.2=205MPa
依据德国标准计算钢管厚度
依据表2,取安全系数s=1.5 则

计算钢管厚度

OD=id+tn=9.2+0.98=10.18mm
查GB17395,可选外径10mm厚1mm不锈钢管。
参考标准: DIN2413 DNV GB/T14976 GB/T17395
全文下载:液压配管内径及壁厚的合理计算与选用
PDF文件(可以在线查看)
如何根据管道壁厚确定压力等级?
设计上会针对不同的介质情况作出说明。一般以4.0MPa为界
合理的管壁厚可以按管子表号(Sch.)表示壁厚系列
这是1938年美国国家标准协会ANSIB36.10(焊接和无缝钢管)标准所规定的。
管子表号(Sch.)是设计压力与设计温度下材料的许用应力的比值乘以1000,并经圆整后的数值。
即:Sch .=P/[ó]t×1000
式中 P—设计压力,MPa; [ó]t—设计温度下材料的许用应力,MPa。
无缝钢管与焊接钢管的管子表号可查资料确定。
ANSI B36.10和JIS标准中的管子表号为;Schl0、20、30、40、60、80、100、120、140、160。
ANSI B36.19中的不锈钢管管子表号为:5S、10S、40S、80S。
管表号(Sch.)并不是壁厚,是壁厚系列。实际的壁厚,同一管径,在不同的管子表号中其厚度各异。不同管子表号的管壁厚度,在美国和日本是应用计算承受内压薄壁管厚度的Barlow公式计算并考虑了腐蚀裕量和螺纹深度及壁厚负偏差-12.5%之后确定的,计算壁厚径圆整后才是实际的壁厚。
如果已知钢管的管子表号,可计算出该钢管所能适应的设计压力,即: P=Sch..× [ó]t/1000
例如,库存Sch40,碳素钢20无缝钢管,当设计温度为350oC时给钢管所能适应 设计压力为:
P=40×92/1000①=3.68 MPa
其中“STD”为标准管壁厚系列代号,“XS”这加强管壁厚系列代号,“XXS”为特加强管壁厚系列代号。
具体的表格数据可参照GB12459-2005的附录B——无缝钢管壁厚分级表
液压传动系统中的负载和工作压力怎么换算的谁知道啊?光书上所记录的》5至MPa是压强的单位,是液压系统常用单位。1MPa=1000KPa=1000000Pa,1Pa=1N/㎡
对于钢管,其中的[σ]=σb/n,σb为抗拉强度,与钢号有关,n为安全系数,压力小于7MPa时n取8,小于17.5MPa时n取6,更大时,n取4
根据流量正使用压力来确定,具体请查阅机械设计手册第5卷,
钢管压力:P=2*单边壁厚*141/钢管外径(注:141=Q235*60% 钢管应力系数)最后求出安全系数:P/1.5
如何根据管道壁厚确定压力等级?_
…… 1. 首先要搞清楚管道设计压力和压力等级两zhidao个不同的概念,很多人把这两个概念混淆了. 2. 设计压力是根据最高操作温度下的最高操作压力确定的,用于管道强度计算,确定试压条件等.压力等级则是比设计压力要高,根据有关标准规范选定的特定压力值,主要用于管件的选用回.不同标准对压力等级的规答定也不同.3. 要确定压力等级:1、根据操作条件确定设计压力;2、选定项目采用标准;3、根据设计压力按照标准选定压力等级.
请教如何根据管道压力和材质确定管道的壁厚等级
…… 磅级跟温度有关系的,150磅级在不同温度下对应的压力不一样.详情查询ASME B16.5 里面有对应温度,对应的承受压力范围(MPa).壁厚得根据你选择的材质,以及用途来考虑,计算方法不尽一样的.
压力管道的壁厚等级SCH如何确定?
…… sch=(设计压力/许用应力)*1000,圆整值,常见有SCH40,SCH80,SCH160
如何根据管道的材质,管道的压力来选择壁厚_ …… 腐蚀裕量应根据预期的容器寿命B和介质对金属材料的腐蚀速率K来确定,即:C2=K*B.一般容器寿命按10年考虑,塔、反应器等按20年考虑.腐蚀速率可从腐蚀手册、化工物性手册及国外有关资料等查取或者实际运行“挂片”试验确定.也可参考以下参数确定:1、腐蚀程度:无腐蚀,腐蚀速率小于0.05mm/年,腐蚀裕量为0mm;2、腐蚀程度:轻微腐蚀,腐蚀速率0.05~0.13mm/年,腐蚀裕量为大于等于1mm;3、腐蚀程度:有腐蚀,腐蚀速率0.13~0.25mm/年,腐蚀裕量为大于等于2mm;4、腐蚀程度:严重腐蚀,腐蚀速率大于0.25/年,腐蚀裕量为大于等于3mm.
液压 管道 壁厚与 压力等级_
…… 壁厚(毫米)= 压力(兆帕)x 内径(毫米)/(2 x 许用应力) 许用应力=屈服强度/安全系数,20钢管的屈服强度=330,安全系数=2(正常情况,高频疲劳时=3) 许用应力=330/2=165兆帕 壁厚=30x70(假设内径)/(2x165)=6mm.
管道壁厚与管道压力怎么对应的?_
…… 压力与壁厚的关系只是一个公式计算后加上富余量 壁厚=压力*外径/(2*屈服强度*设计系数*焊缝系数*温度折减系数)+富余量
如何根据管道的材质,管道的压力来选择壁厚呢?
…… 若管道内径为D,管材的许用应力[σ],考虑缺陷及锈蚀影响,取管壁的锈蚀厚度e,管内流体最大压力为Pmax.则管壁厚 δ = PmaxD/(2[σ]) + e
如何确定管道设计压力?
…… 工程上,工艺操作参数不宜直接作为压力管道的设计条件,要考虑工艺操作的波动、相连设备的影响、环境的影响等因素,而在工艺操作参数的基础上给出一定的安全裕量作为设计条件.这里所说的设计条件主要是指设计压力和设计温度. 管道的设计压力:应不低于正常操作时,由内压(或外压)与温度构成的最苛刻条件下的压力. 最苛刻条件:是指导致管子及管道组成件最大壁厚或最高公称压力等级的条件.设计压力确定:考虑介质的静液柱压力等因素的影响,设计压力一般应略高于由(或)外压与温度构成的最苛刻条件下的最高工作压力.
请问已知管道的壁厚,如何知道能承受多大的压力? 采用哪个公式? 有没有国家标准?最好提供标准号?
…… 像美国跟日本一般用P=(S*[σ])/1000 (式中P为设计压力 S为壁厚 [σ]为设定温度下的许用应力 )作为基础计算公式,但计算出的结果还要进行圆整,因为要考虑到流通介质、腐蚀余量和壁厚负偏差等;而在我国,比如石油管道,就用P=(S*2*[σ])/ D (式中P为设计压力MPa S为壁厚mm [σ]为设定温度下的许用应力MPa ,一般等于钢的最低屈服强度 D为管道外径mm)
关于压力管道等级的确定_
…… 只需要GC2级压力管道安装资质就可以了.工业管道 类别 GCGC1级1输送下列有毒介质的压力管道:a)极度危害介质;b)高度危害气体介质c)工作温度高于标准沸点的高度危害液体介质.2输送甲、乙类可燃气体或甲类可燃液体(含液化烃)...




相关计算器下载:
相关文章:


