物体由于外因(受力、湿度、温度场变化等)而变形时,在物体内各部分之间产生相互作用的内力,以抵抗这种外因的作用,并试图使物体从变形后的位置恢复到变形前的位置。
在所考察的截面某一点单位面积上的内力称为应力。同截面垂直的称为正应力或法向应力,同截面相切的称为剪应力或切应力。
应力状态
物体由于外因(受力、湿度、温度场变化等)而变形时,在物体内各部分之间产生相互作用的内力,单位面积上的内力称为应力。应力是矢量,沿截面法向的分量称为正应力,沿切向的分量称为切应力
物体中一点在所有可能方向上的应力称为该点的应力状态。但过一点可作无数个平面,是否要用无数个平面上的应力才能描述点的应力状态呢?通过下面的分析可知,只需用过一点的任意一组相互垂直的三个平面上的应力就可代表点的应力状态,而其它截面上的应力都可用这组应力及其与需考察的截面的方位关系来表示。
应力张量
应力张量
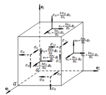
如右图所示,P为直角坐标系0XYZ中一变形体内的任意点,在此点附

近切取一个各平面都平行于坐标平面的六面体。此六面体上三个互相垂直的三个平面上的应力分量即可表示该点的应力状态。
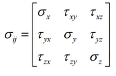
为规定应力分量的正负号,首先假设:法向与坐标轴正向一致的面为正面;与坐 标轴负向一致的面为负面。进而规定:正面上指向坐标轴正向的应力为正,反之为负; 负面上指向坐标轴负向的应力为正,反之为负。三个正面上共有九个应力分量(包括三个正应力和六个切应力)。此九个应力分量可写成如下矩阵形式:
应力分量的第一个下标表示作用平面的法向;第二个下标表示应力作用的方向。正应力的两个下标是一样的,故用一个下标简写之。

由于切应力互等定理,上列矩阵中对角的切应力是相等的,即:τxy=τyx, τyz=τzy, τzx=τxz。因此,此矩阵为对称矩阵,九个应力分量中六个应力分量是独立的。
主应力

如果作用在某一截面上的全应力和这一截面垂直,即该截面上只有正应力,切应力为零,则这一截面称为主平面,其法线方向称为应力主方向或应力主轴,其上的应力称为主应力。如果三个坐标轴方向都是主方向,则称这一坐标系为主坐标系。
在塑性力学中,常将应力张量分解为:

式中,称为平均正应力。等号右端第一项称为球形应力张量;第二项可记为:

称为应力偏量张量。
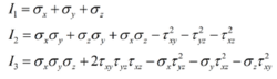
应力张量不变量
在求解主应力的过程中会得到以主应力为未知数的三次方程,叫做状态方程。

状态方程的三个系数唯一由主应力确定,而一点的主应力是唯一的,这样就得到了不随坐标变化的三个量,叫作应力张量不变量。
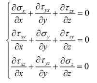
平衡微分方程
以上说明的都是一点的应力状态,而物体内部不同点的应力状态一般是不同的,那么如何描述相邻点间的应力变化关系呢?

以物体内某一点P(x,y,z)为顶点截取边长分别为dx,dy,dz的直角平行六面体微元,另一个顶点的坐标则为(x+dx,y+dy,z+dz)。根据静力平衡方程,并处理掉高阶小量,得到应力平衡微分方程。

分类
正应力与剪应力
同截面垂直的称为正应力或法向应力,同截面相切的称为剪应力或切应力。应力
会随着外力的增加而增长,对于某一种材料,应力的增长是有限度的,超过这一限度,材料就要破坏。对某种材料来说,应力可能达到的这个限度称为该种材料的极限应力。极限应力值要通过材料的力学试验来测定。将测定的极限应力作适当降低,规定出材料能安全工作的应力最大值,这就是许用应力。材料要想安全使用,在使用时其内的应力应低于它的极限应力,否则材料就会在使用时发生破坏。

有些材料在工作时,其所受的外力不随时间而变化,这时其内部的应力大小不变,称为静应力;还有一些材料,其所受的外力随时间呈周期性变化,这时内部的应力也随时间呈周期性变化,称为交变应力。材料在交变应力作用下发生的破坏称为疲劳破坏。通常材料承受的交变应力远小于其静载下的强度极限时,破坏就可能发生。另外材料会由于截面尺寸改变而引起应力的局部增大,这种现象称为应力集中。对于组织均匀的脆性材料,应力集中将大大降低构件的强度,这在构件的设计时应特别注意。
物体受力产生变形时,体内各点处变形程度一般并不相同。用以描述一点处变形的程度的力学量是该点的应变。为此可在该点处到一单元体,比较变形前后单元体大小和形状的变化。
单位:Pa,Psi
拉应力与压应力
一个圆柱体两端受压,那么沿着它轴线方向的应力就是压应力。压
应力就是指使物体有压缩趋势的应力。 不仅仅物体受力引起压应力,任何产生压缩变形的情况都会有,包括物体膨胀后。 另外,如果一根梁弯曲,不管是受力还是梁受热不均而引起弯曲,等等,弯曲内侧自然就受压应力,外侧就受拉应力。

其实,拉应力表示正值的正应力,压应力表示负值的正应力。
应力的单位为Pa。
1 Pa=1 N/m2
工程实际中应力数值较大,常用MPa或GPa作单位
1 MPa=10^6Pa
1 GPa=10^9Pa
应力的单位为Pa。
1 Pa=1 N/m2
工程实际中应力数值较大,常用MPa或GPa作单位
1 MPa=10^6Pa
1 GPa=10^9Pa
测量工具
应力仪或者应变仪是来测定物体由于内应力的仪器。一般通过采集应变片的信号,而转化为电信号进行分析和测量。
方法是:将应变片贴在被测定物上,使其随着被测定物的应变一起伸缩,这样里面的金属箔材就随着应变伸长或缩短。很多金属在机械性地伸长或缩短时其电阻会随之变化。应变片就是应用这个原理,通过测量电阻的变化而对应变进行测定。一般应变片的敏感栅使用的是铜铬合金,其电阻变化率为常数,与应变成正比例关系。
通过惠斯通电桥,便可以将这种电阻的比例关系转化为电压。然后不同的仪器,可以将这种电压的变化转化成可以测量的数据。
对于应力仪或者应变仪,关键的指标有: 测试精度,采样速度,测试可以支持的通道数,动态范围,支持的应变片型号等。并且,应力仪所配套的软件也至关重要,需要能够实时显示,实时分析,实时记录等各种功能,高端的软件还具有各种信号处理能力。
另外,有一些仪器是通过光谱,膜片等原理设计的。
危害
开裂
因为应力的存在,在受到外界作用后(如移印时接触到化学溶剂或者烤漆后端时高温烘烤),会诱使应力释放而在应力残留位置开裂。开裂主要集中在浇口处或过度填充处。
翘曲及变形
因为残留应力的存在,因此产品在室温时会有较长时间的内应力释放或者高温时出现短时间内残留应力释放的过程,同时产品局部存在位置强度差,产品就会在应力残留位置产生翘曲或者变形问题。
产品尺寸变化
因为应力的存在,在产品放置后或处理的过程中,如果环境达到一定的温度,产品就会因应力释放而发生变化。
残余应力消除
自然时效消除残余应力

公式
自然时效是通过把零件暴露于室外,经过几个月至几年的时间,使其尺寸精度达到稳定的一种方法。大量的试验研究和生产实践证明,自然时效具有稳定铸件尺寸精度的良好效果。
然而,经过自然时效的工件,其残余应力的变化并不明显,由图3-1可见,铸件试样放置一年以后,残余应力仅降低2-10%;实测机床床身残余应力的结果表明,进行为期一年的自然时效后,最大残余应力由80N/mm降至70N/mm平均残余应力由38N/mm降至30N/mm,即仅仅降低了大约10-20%。由此可见,经自然时效后已停止变形的铸件,仍然残存着相当大的残余应力。对于那些使用时需承受很大载荷的铸件,当在较高残余应力上再叠加使用应力时就有可能影响铸件的使用性能,因此必须慎重考虑是否应该采用这种时效方法。
热时效法
最传统、也是目前最普及的方法——热时效法,把工件放进热时效炉中进行热处理,慢慢消除应力。这种方法的缺点也非常显著,比如卫星制造厂对温度控制要求非常严格的铝合金工件以及长达十米或者更大的巨型工件都无法用这种方法处理。而且这种方法还带来了大量的污染和能源消耗,随着中国及世界范围内对环保的进一步要求,热时效炉的处理方式马上面临全面退出的境地。
利用亚共振来消除应力
这种方法虽然解决了热时效的环保问题,但是使用起来相当烦琐,要针对不同形状的工件编制不同的时效工艺,如果有几百上千种工件就要编几百上千种工艺,而且在生产时操作相当复杂,需要操作者确定处理参数,复杂工件必须是熟练的专业技术人员才能操作。更令人遗憾的是这种方法只能消除23%的工件应力,无法达到处理所有工件的目的。
振动时效去除应力
振动时效技术,国外称之为"Vibrating Stress Relief"(简称"VSR"),旨在通过专用的振动时效设备,使被处理的工件产生共振,并通过这种共振方式将一定的振动能量传递到工件所有部位,使工件内部发生微观的塑性变形—被歪曲的晶格逐渐恢复平衡状态。位错重新滑移并钉扎,最终使残余应力得到消除和均化,从而保证了工件尺寸精度的稳定性。
振动时效的实质是以共振的形式给工件施加附加动应力,当附加动应力与残余应力叠加后,达到或超过材料的屈服极限时,工件发生微观或宏观塑性变形,从而降低和均化工件内部的残余应力,并使其尺寸精度达到稳定。


