一种薄板成形性试验。用凸模把中心带孔的试件压入凹模,使试件中心孔扩大,直到板孔边缘出现颈缩或裂纹为止。试验结果用于评价金属薄板的翻边成形性。被剪切或冲裁以后的金属薄板,在受冲剪的边缘部位会有损伤和加工硬化产生,在后续的冲压成形加工特别是拉伸变形时,这些部位会过早地产生裂纹而导致破坏。在一些高强钢和硬铝合金的加工中常有这种情况发生。因翻边是一种最典型的变形方式,为此发展了扩孑L试验。
扩孔试验装置如图所示,主要由凸模1、凹模2和压边圈3组成。凸模上为易于试件对中常带有定位销4。凸模可以为平底,也可以为半球形。凹模与压边圈之间可以为平面,也可以带有拉延筋。试验用金属薄板5中心预制圆孔,周边被凹模与压边圈压紧,以防止薄

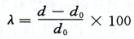
板突缘金属流入凹模孔腔。凸模将带孔试件压入凹模,致使试件中心孔扩大。当孔的边缘出现颈缩或裂纹时,停机卸载,测量此时试件中心孔的平均直径,以其扩大量和原始孔径的比值作为金属薄板翻边性能的评估指标,称为扩孔率%26lambda;(%):
![]()
式中d为试件变形后中心孔的平均直径;d0为原始孔径。德国凯泽%26bull;威廉研究院(Kaiser Wilhelm Lnstitute)对试验所用模具的尺寸和试样有一系列的规定,凡按该规定所做的试验,其最终结果%26lambda;值称为K.W.I值。一般情况下,去除中心孔毛刺可大大增加扩孔率。该值还随总延伸率和塑性应变比r值的增加而增加,随抗拉强度的增加而下降。对金属内部夹杂物施行形态控制有助于改善翻边性能。
也有用90mm%26times;90ram的带孔(%26phi;12mm)方板作为试件,用%26phi;40mm的凸模压入,测量孔开始拉裂时的有关数据,以用下式计算的g值作为综合评估成形性能指标
![]()
式中h为冲压高度,dmax ,dmin分别为中心孔的最大与最小直径。
备注:如果您觉得“扩孔试验”资料对您有所帮助,您可以与您朋友分享一下!
(本平台"常州精密钢管博客网"的部分图文来自网络转载,转载目的在于传递更多技术信息。我们尊重原创,版权归原作者所有,若未能找到作者和出处望请谅解,敬请联系主编微信号:steel_tube,进行删除或付稿费,多谢!)

