宝山钢铁股份有限公司企业标准
管道、容器、设备结构用无缝钢管
(Q/BQB 203-2009代替Q/BQB 203-2003)
1 范围
本标准规定了管道、容器、设备结构用无缝钢管的尺寸、外形、重量、技术要求、检验与试验、包装、标志和检验文件。本标准适用于宝山钢铁股份有限公司生产的用于制造管道、容器、设备及其它结构中有较高要求的碳素钢及低合金钢热轧无缝钢管。
2 规范性引用文件
下列文件中的条款通过本标准的引用而成为本标准的条款。凡是注日期的引用文件,其随后所有的修改单(不包括勘误的内容)或修订版均不适用于本标准,然而,鼓励根据本标准达成协议的各方研究是否可使用这些文件的最新版本。凡是不注日期的引用文件,其最新版本适用于本标准。
GB/T 222-2006 钢的成品化学成分允许偏差
GB/T 223 钢铁及合金化学分析方法
GB/T 228-2002 金属材料 室温拉伸试验方法
GB/T 229-1994 金属夏比缺口冲击试验方法
GB/T 242-2007 金属管扩口试验方法
GB/T 246-2007 金属管压扁试验方法
GB/T 2102-2006 钢管的验收、包装、标志和质量证明书
GB/T 2975-1998 钢及钢产品 力学性能试验取样位置及试样制备
GB/T 4336-2002 碳素钢和中低合金钢 火花源原子发射光谱分析方法(常规法)
GB/T 7735-2004 钢管涡流探伤检验方法
GB/T 8163-2008 输送流体用无缝钢管
GB/T 8170-2008 数值修约规则与极限数值的表示和判定
GB/T 18253-2000 钢及钢产品 检验文件的类型
GB/T 20066-2006 钢和铁 化学成分测定用试样的取样和制样方法
GB/T 20123-2006 钢铁 总碳硫含量的测定 高频感应炉燃烧后红外吸收法(常规方法)
GB/T 20125-2006 低合金钢 多元素含量的测定 电感耦合等离子体原子发射光谱法
GB/T 20126-2006 非合金钢 低碳含量的测定 第2 部分:感应炉(经预加热)内燃烧后红外吸收法
3 尺寸、外形、重量
3.1 外径和壁厚
3.1.1 外径和壁厚如表1、表2 所示。根据需方要求,经供需双方商定,可供应表1、表2 规定以外的钢管。
3.1.2 外径的允许偏差应符合表3 规定。
3.1.3 壁厚的允许偏差应符合表4 规定。
3.2 长度
3.2.1 钢管的通常长度为6m~12m。经供需双方协议,可供应5m~12m 长度范围内的定尺钢管,其长度允许偏差应符合表5 的规定。
3.2.2 根据需方要求,经供需双方协议,也可供应其他长度的钢管。
3.3 外形
3.3.1 钢管的弯曲度不得大于如下规定:
壁厚≤15mm 1.0mm/m
壁厚>15mm 1.5mm/m
3.3.2 钢管的两端端面应与钢管轴线垂直,切口毛刺应清除。
![]() |
![]() |
表3
外径 da mm | 外径允许偏差 |
≤50 | ±0.5mm |
>50 | ±1%da |
表4
壁厚允许偏差 | |||||
外径da≤130mm | 外径da>130mm | ||||
壁厚S | 壁厚S | ||||
S≤2·Sn | 2·Sn<S≤4·Sn | S>4·Sn | S≤0.05da | 0.05da<S≤0.11da | S>0.11da |
+15% -10% | +12.5% -10% | ±9% | +15% -10% | ±12.5% | ±10% |
| 注:Sn 为标准壁厚(见表1 和表2) | |||||
表5
定尺长度 | 长度允许偏差 |
≤6m | +10mm 0 |
>6m | +15mm 0 |
3.4 重量
3.4.1 钢管按实际重量交货,亦可按理论重量交货。钢管每米理论重量列于表1、表2(钢的密度按7.85kg/dm3)。
3.4.2 钢管的实际重量与理论重量的偏差不得大于下列规定:单根钢管 +10%-8%不少于10 吨时的车载量 +10%-5%
4 技术要求
4.1 牌号和化学成分
4.1.1 钢的牌号和化学成分(熔炼分析)应符合表6 规定。经供需双方协商,可供应其它牌号的钢管。
4.1.2 钢管的成品化学成分允许偏差按GB/T 222 的有关规定。
4.2 冶炼方法钢应为电炉或氧气转炉冶炼的镇静钢,若需方无特别指定,则冶炼方法由供方确定。E275K2、E355K2、C22E、C35E、C45E 等牌号的钢应为细晶粒钢并含有固氮元素。
4.3 交货状态
4.3.1 钢管交货状态应符合表7 和表8。
4.3.2 如果热张力轧制(如张力减径)后钢管的终轧温度高于钢材的相变临界温度Ar3 且管子是经过空冷时,则管子视为经过了正火处理。
4.3.3 如果要求钢管表面涂防腐涂料,应在订货时商定。
4.4 力学性能
4.4.1 交货状态钢管的室温纵向拉伸性能应符合表7 或表8 的规定。
4.4.2 对于E275K2 和E355K2 牌号的钢管,应进行纵向冲击试验。交货状态钢管的全尺寸试样夏比V 型缺口冲击功应满足表8 的规定。不能制备全尺寸试样时,可采用宽度为7.5mm 或5.0 mm 的小尺寸试样。冲击试样应优先选择尽可能的较大尺寸。当不足以选取5.0mm 宽度试样时,不进行冲击试验。7.5 mm 和5.0mm 小尺寸试样的最小夏比V 型缺口冲击功要求应分别为表8 中的全尺寸试样冲击功要求值乘以递减系数0.75 和0.50。
4.5 密实性
钢管应采用GB/T 7735 中的验收等级B 逐根进行涡流探伤检验,以检验钢管的密实性。需方如对钢管的密实性进行复验时,也可按GB/T 8163 的规定进行水压试验,但最高试验压力不超过20MPa。
4.6 工艺试验
4.6.1 用St37.0、St44.0、St52.0、E235、E275、E315、E355、C22E、C35E 钢制造的钢管,应进行压扁试验。根据需方要求,供需双方商定并在合同中注明,用St55 钢制造的钢管也可进行压扁试验。
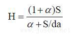
压扁试验后,试样上不允许存在裂缝或裂口,钢管压扁后平板间距离按下式计算:
|
式中:S-钢管的公称壁厚,mm;
da-钢管的公称外径,mm;
α-单位长度变形系数,对于St37.0 和E235,α=0.09;对于St44.0、St52.0、E275、E315、E355 和C22E,α=0.07;对于St55 和C35E,α=0.06如果S/da 大于0.15,该牌号钢的α 值应减小0.01。
4.6.2 根据需方要求,并在合同中注明,用St37.0、St44.0、St52.0 钢制造,壁厚不大于8mm 的钢管,可进行扩口试验。扩口试验在冷状态下进行,顶口锥度为30°、45°、60°中的一种,扩口后试样不得出现裂缝或裂口,扩口试样外径扩口率应符合表9 规定。
4.7 表面质量
钢管的内外表面不得有裂缝、折叠、轧折、离层和结疤,这些缺陷应完全清除掉,但清理处的实际壁厚不得小于壁厚所允许的最小值。允许存在由于制造方式所造成的轻微凸起、凹陷或浅的辊痕,但钢管的外径和壁厚必须在允许的尺寸偏差之内,且不影响钢管的使用性能。
5 检验与试验
5.1 钢管的尺寸应用合适的量具逐根进行测量。
5.2 钢管的内、外表面需在照明下用肉眼逐根进行检查。
5.3 钢管的检验项目、试验方法、取样方法和取样数量应符合表10 的规定。
5.4 组批规则
5.4.1 钢管按批进行检验和验收。每批钢管应由同一规格、同一牌号、同一炉号的钢管组成。当需方事先未提出特殊要求时,碳素钢管可以不同炉号的同一规格、同一牌号的钢管组 成一批。
5.4.2 钢管每批为200 根,剩余钢管的根数不小于100 根时,单独为一批;小于100 根时,应并入相邻的一批中。
5.5 复验与判定原则
5.5.1 对于拉伸试验、压扁试验及扩口试验,初验如有一项试验结果(包括该项试验所要求的任一指标)不合格,则应将该根钢管剔除,并从同一批钢管中重新取2 根钢管复验不合格的项目,复验结果即使有一个指标不合格,则整批钢管不予验收。
5.5.2 对于冲击试验,一组3 个试样的平均值应不小于规定值,允许其中有1 个试样的值低于规定值,但不应低于规定值的70%。若一组3 个试样的结果没有满足上述规定,但低于规定值的试样不超过2 个,且低于规定值70%的试样不超过1 个,可从同一抽样钢管上再取1 组3 个试样,在第二组试样试验后,如果同时满足下列条件,该抽样钢管判为合格:
a) 6 个试样的平均值不小于规定值;
b) 低于规定值的试样不超过2 个;
c) 低于规定值70%的试样不超过1 个。
如果没有满足上述条件,该抽样钢管应判为不合格,则整批钢管不予验收。
5.5.3 供方可对复验不合格的钢管进行正火处理,作为新的一批提交验收,正火次数应不超过两次。
6 包装、标志和检验文件
6.1 钢管的包装和标志应符合GB/T 2102 的规定。
6.2 检验文件
6.2.1 通常情况下,检验文件的类型应符合GB/T 18253 中检验文件类型“5.1 B”的规定。即由制造厂授权的、独立于生产部门的检验代表,根据规定的检验和试验要求进行检验和试验,并出具检验文件。经供需双方协商,并在合同中注明,也可提供其他类型的检验文件。
6.2.2 每批交货钢管必须开具检验文件。检验文件的内容,可按需要注明:商标、供方名称、订货单位名称、产品名称、产品订货标准、产品规格、合同号、牌号、炉号、交货状态、捆数、重量、标准中规定的各项试验结果、检验文件签发日期、交货日期、质量管理部门负责人签字等。
7 数值修约规则
数值修约规则应符合GB/T 8170 的规定。
8 牌号近似对照
本标准牌号与国内外标准牌号的近似对照见附录B。
表6
牌 号 | 化学成分(熔炼分析) % (质量分数) | |||||||||||||
C | Si | Mn | P | S | Cr | Mo | Ni | Alt d | Cu | N | Nb | Ti | V | |
St37.0 | ≤ 0.17 | 0.17 ~ 0.37 | 0.35 ~ 0.65 | ≤ 0.025 | ≤ 0.020 | ≤ 0.25 | — | ≤ 0.25 | — | ≤ 0.20 | — | — | — | — |
St44.0 | ≤ 0.21 | 0.17 ~ 0.37 | 0.50 ~ 0.80 | ≤ 0.025 | ≤ 0.020 | ≤ 0.25 | — | ≤ 0.25 | — | ≤ 0.20 | — | — | — | — |
St52.0 | ≤ 0.22 | ≤ 0.55 | ≤ 1.60 | ≤ 0.025 | ≤ 0.020 | ≤ 0.25 | — | ≤ 0.25 | — | ≤ 0.20 | — | — | — | — |
St55 | 0.33 ~ 0.41 | 0.17 ~ 0.37 | 0.50 ~ 0.80 | ≤ 0.025 | ≤ 0.020 | ≤ 0.25 | — | ≤ 0.25 | — | ≤ 0.20 | — | — | — | — |
CK45 | 0.42 ~ 0.50 | 0.17 ~ 0.37 | 0.50 ~ 0.80 | ≤ 0.025 | ≤ 0.0 | ≤ 0.25 | — | ≤ 0.25 | — | ≤ 0.20 | — | — | — | — |
E235 a | ≤ 0.17 | ≤ 0.35 | ≤ 1.20 | ≤ 0.025 | ≤ 0.020 | — | — | — | — | — | — | — | — | — |
E275 a | ≤ 0.21 | ≤ 0.35 | ≤ 1.40 | ≤ 0.025 | ≤ 0.025 | — | — | — | — | — | — | — | — | — |
E275K2a | ≤ 0.20 | ≤ 0.40 | 0.50 ~ 1.40 | ≤ 0.025 | ≤ 0.020 | ≤ 0.30 | ≤ 0.10 | ≤ 0.30 | ≥ 0.020 | ≤ 0.35 | ≤ 0.015 | ≤ 0.05 | ≤ 0.03 | ≤ 0.05 |
E315 a | ≤ 0.21 | ≤ 0.30 | ≤ 1.50 | ≤ 0.025 | ≤ 0.020 | — | — | — | — | — | — | — | — | — |
E355 a,b | ≤ 0.22 | ≤ 0.55 | ≤ 1.60 | ≤ 0.025 | ≤ 0.020 | — | — | — | — | — | — | — | — | — |
E355K2a | ≤ 0.20 | ≤ 0.50 | 0.90 ~ 1.65 | ≤ 0.025 | ≤ 0.020 | ≤ 0.30 | ≤ 0.10 | ≤ 0.50 | ≥ 0.020 | ≤ 0.35 | ≤ 0.015 | ≤ 0.05 | ≤ 0.05 | ≤ 0.12 |
C22E a,c | 0.17 ~ 0.24 | ≤ 0.40 | 0.40 ~ 0.70 | ≤ 0.025 | ≤ 0.020 | ≤ 0.40 | ≤ 0.10 | ≤ 0.40 | — | — | — | — | — | — |
C35E a,c | 0.32 ~ 0.39 | ≤ 0.40 | 0.50 ~ 0.80 | ≤ 0.025 | ≤ 0.020 | ≤ 0.40 | ≤ 0.10 | ≤ 0.40 | — | — | — | — | — | — |
C45E a,c | 0.42 ~ 0.50 | ≤ 0.40 | 0.50 ~ 0.80 | ≤ 0.025 | ≤ 0.020 | ≤ 0.40 | ≤ 0.10 | ≤ 0.40 | — | — | — | — | — | — |
| a 经供需双方协商同意,可添加表中规定以外的元素。供方可自行添加用于提高铸造性的其他元素。 b 供方可添加Nb、V、Ti,但应报告这些元素的含量。 c 应满足Cr+Mo+Ni≤0.63%。 d 如果有充分的其他固氮元素,则此Alt 要求不适用。 | ||||||||||||||
表7
牌 号 | 交货状态 | 拉伸性能a, b | |||
抗拉强度 Rm, MPa | 下屈服强度ReL, MPa | 断后伸长率 A, % | |||
壁厚 mm | |||||
≤16 | >16 | ||||
St37.0 | 热轧或正火c | 350~480 | ≥235 | ≥225 | ≥25 |
St44.0 | 热轧或正火c | 420~550 | ≥275 | ≥265 | ≥21 |
St52.0 | 热轧或正火c | 500~650 | ≥355 | ≥345 | ≥21 |
St55 | 热轧或正火c | 540~645 | ≥295 | ≥285 | ≥17 |
CK45 | 热轧或正火c | 590~730 | ≥335 | ≥325 | ≥14 |
| a 当屈服现象不明显时,以规定非比例延伸强度Rp0.2 代替下屈服强度。 b 试样为GB/T 228 中的纵向弧形试样。 c 由供方选择,采用热轧或正火状态交货。 | |||||
表8
牌 号 | 交货状态 | 拉伸性能a, b | -20℃平均吸收功 AKV,J 不小于 | |||||
抗拉强度 Rm, Mpa 不小于 | 上屈服强度 ReH, Mpa 不小于 | 断后伸长率 A,% 不小于 | ||||||
壁厚 mm | 壁厚 mm | 壁厚 mm | ||||||
≤16 | >16 | ≤16 | >16 | ≤16 | >16 | |||
E235 | 热轧或正火c | 360 | 235 | 225 | 25 | — | ||
E275 | 热轧或正火c | 410 | 275 | 265 | 22 | — | ||
E275K2 | 正火 | 410 | 275 | 265 | 22 | 40 | ||
E315 | 热轧或正火c | 450 | 315 | 305 | 21 | — | ||
E355 | 热轧或正火c | 490 | 355 | 345 | 20 | — | ||
E355K2 | 正火 | 490 | 355 | 345 | 20 | 40 | ||
C22E | 正火 | 430 | 410 | 240 | 210 | 24 | 25 | — |
C35E | 正火 | 550 | 520 | 300 | 270 | 18 | 19 | — |
C45E | 正火 | 620 | 580 | 340 | 305 | 14 | 16 | — |
| a 当屈服现象不明显时,以规定非比例延伸强度Rp0.2 代替上屈服强度。 b 试样为GB/T 228 中的纵向弧形试样。 c 由供方选择,采用热轧或正火状态交货。 | ||||||||
表9
牌号 | 扩口率 % | ||
内径/外径 | |||
≤0.6 | >0.6~0.8 | >0.8 | |
St37.0、St44.0 | 10 | 12 | 17 |
St52.0 | 8 | 10 | 15 |
表10
序号 | 检验项目 | 涡流探伤 | 取样方法 | 取样数量 |
1 | 化学成分 (熔炼分析) | GB/T 223、GB/T 4336、GB/T 20123、 GB/T 20125、GB/T 20126 | GB/T 20066 | 每炉一个试样 |
2 | 拉伸试验 | GB/T 228 | GB/T 2975 | 每批一个试样 |
3 | 冲击试验 | GB/T 229 | GB/T 2975 | 每批在一根钢管上 取一组三个试样 |
4 | 压扁试验 | GB/T 246 | GB/T 246 | 每批一个试样 |
5 | 扩口试验 | GB/T 242 | GB/T 242 | 每批一个试样 |
6 | 涡流探伤 | GB/T 7735 | — | 逐根 |
附录A
(资料性附录)
预计温度下的强度特性值
表 A.1 St37.0、St44.0、St52.0 牌号的钢管预计温度下的强度特性值Rp0.2
牌 号 | 预计温度下的强度特性值MPa | |||||||
50℃ | 200℃ | 250℃ | 300℃ | |||||
壁厚 mm | ||||||||
≤16 | >16~25 | ≤16 | >16~25 | ≤16 | >16~25 | >16~25 | >16~25 | |
St37.0 | 255 | 235 | 185 | 175 | 165 | 155 | 140 | 135 |
St44.0 | 275 | 265 | 215 | 205 | 195 | 185 | 165 | 160 |
St52.0 | 355 | 345 | 245 | 235 | 225 | 215 | 195 | 190 |
| 注: 1 表列值为规定非比例延伸强度RP0.2 的估计值,未被证实。此值在计算时应考虑代入较高的安全系数(例: DIN 2413-1972 版中适用范围为20%)。 2 对于大于50℃至小于200℃中间范围,应在20℃(见表7)和200℃之间线性内插,不随意凑成整 数。 | ||||||||
表A.2 St55 牌号的钢管预计温度下的强度特性值下屈服强度
牌 号 | 下屈服强度,MPa |
20℃ | |
St55 | 355 |
| 注: 1 对于按DIN 2413 计算壁厚的钢管,20℃时的强度特性值,可用于120℃以下的温度。 2 外径≤30mm、壁厚≤3mm 的钢管,允许降低10MPa。 | |
附录B
(资料性附录)
本标准牌号与国内外标准牌号的近似对照表
表 B.1
Q/BQB 203-2009 | Q/BQB 203-2003 | DIN1629:1984 | EN 10297-1:2003 |
St37.0 | St37.0 | St37.0 | E235 |
St44.0 | St44.0 | St44.0 | E275 |
St52.0 | St52.0 | St52.0 | E355 |
St55 | St55 | St55 | C35E |
CK45 | CK45 | - | C45E |
E235 | - | - | E235 |
E275 | - | - | E275 |
E275K2 | - | - | E275K2 |
E315 | - | - | E315 |
E355 | - | - | E355 |
E355K2 | - | - | E355K2 |
C22E | - | - | C22E |
C35E | - | - | C35E |
C45E | - | - | C45E |
附加说明:
本标准参考DIN1629-1984、DIN2448-1981、EN 10297-1:2003 编制。
本标准代替Q/BQB 203-2003。
本标准与Q/BQB 203-2003 相比,主要变化如下:
. 规范性引用文件注明了适用版本,增加了GB/T 223、GB/T 229、GB/T 2975、GB/T
8170、GB/T 18253、GB/T 20066、GB/T 20123、GB/T 20125、GB/T 20126;
. 表1 和表2 的壁厚范围上限由25.0mm 扩大到30.0mm;
. 表2 增加外径165.0mm 和178.0mm 规格;
. 删除标记示例;
. 增加E235、E275、E275K2、E315、E355、E355K2、C22E、C35E、C45E 的
化学成分和力学性能要求;
. St37.0、St44.0、St52.0、St55、CK45 增加了正火的交货状态;
. 4.3.2 节修改了正火轧制的规定;
. 明确涡流探伤进行密实性检验时,采用GB/T 7735 中的验收等级B;
. 增加了冲击试验的复验规则;
. 表9 增加“取样方法”一栏;
. 引用GB/T 18253-2000,质量证明书修改为检验文件,并增加相应规定;
. 增加数值修约规则;
. 增加本标准牌号与国内外标准牌号的近似对照(附录B)。
本标准的附录A 为资料性附录。
本标准由宝山钢铁股份有限公司技术质量管理部提出。
本标准由宝山钢铁股份有限公司技术质量管理部起草。
本标准起草人:许晴。
本标准于1985 年首次发布,1989 年第一次修订,1994 年第二次修订,1999 年第三次修订,
2003 年第四次修订,本次为第五次修订。





