张力减径变形原理(deformation theory of tube stretch redticing process)

关于管材带张力无芯棒连轧的运动学、金属流动、减径量分配和孔型设计、尺寸精度控制、力能参数等的基本理论。
张力减径机运动学 连轧机工作的基本条件是各机架秒体积流量相等即:
FiVi=const
式中Fi为任一机架管材截面积;Vi为相应机架管材出口速度。
对理想过程的偏差,可用系数C来表示:
Ci+1=(Fi+1Vi+1-FiVi) / Fi+1Vi+1
当C>0时机架间将产生张力。但这并不意味着带张力连轧过程是违反各架秒流量相等的原则,这是因为带张力减径时在轴向力作用下金属纵向流动阻力减小,导致管壁减薄倾向比无张力时大,管子的断面积(Fi+1)将减小,最终仍可保持相邻机架秒流量相等。这就是张力减径机可实现大变形量(减径又减壁)的基本原理。
张力值的选择 张力值的大小以张力系数Z表示。张力系数是纵向应力σ1和金属的变形抗力Kf之比。
平均张力系数Z,对一个机架来说等于前后张力系数的平均值。
张力值的大小问题实质上是一个减壁量问题。Z值一般应在0.5~0.8之间。
最大张力系数除了要受避免管子被拉断的限制外,还受管子与轧辊间摩擦系数的限制。

图1示出一个机架上轴向力的平衡关系。在轧制轴线上作用有Px(垂直压力的轴向分量)、前张力q后张力qH以及轴向摩擦Pf,而平衡条件是
q+Pf-qH-Px=0
由于机架前后张力q及qH分别与减径前后管子截面积成正比,减径量愈大,减径前后管子截面积之差愈大,则q和qH之差也愈大。这样Pf=T为一正值,即摩擦力方向同轧辊旋转方向相一致,减径过程可以实现。如果q+Pf<qH+Px则减径过程不能实现。

图2给出了最大摩擦系数下管子外径、张力系数与减径率的关系。
此外,最大张力系数Zmax值还受到一些工艺因素的影响,有时Z<0.8时,在生产中还可能产生拉断现象,如Kf值选得不准确,温度不均等。张力系数一般都是由经验来选取的。
轧辊转速的确定 准确地计算轧辊转速不论对张力减径机设计或者张力减径生产都是必要的。
在设计张力减径机时,须对各种产品规格进行综合转速计算,或者为了简略起见,选择具有代表性的几种规格进行转速计算,然后分别画出转速曲线(图3)。根据转速曲线确定电机调速范围。代表性规格指的是按最大张力进行减径的规格、按最小张力或推力进行减径的规格和用少数机架即短系列生产的规格。目前采用液压一差动传动的张力减径机的调速范围一般为±30%,即若同一机架的最大速度与最小速度之比用R来表示,则R=1.3/0.7=1.86。对单独传动的张力减径机,调整范围±50%,R=1.5/0.5=3。

机架号纵坐标:n/r.min-1
图3 各架轧辊转速分布曲线
1-调速+30%;2-基本转速;3-调速-30%
在确定转速时,要涉及到单架减径率、单架减壁率、张力和工作直径等。
影响单架减径率ΔD/D的决定因素是D/S。早期二辊张力减径机单架减径率可达14%~17%,但现代减径机的单架减径率一般在6%~9%左右。对于通常的D/S(为10~20),当入口管径小于100mm时,取ΔD/D=7%~9%,当入口管径大于100mm时(例如等于150~180mm时),则取ΔD/D=6%。
单架减壁率ΔS/S实质上是一个张力值大小的问题。由于Zmax=0.8,这一数值也就决定了最大减壁率的极限值。根据金属流动规律,减壁率大小又与减径率有一定关系。
虽然尚不能建立单架减壁率与单架减径率间精确的定量关系式,但是可用下列方法确定总减径率与最大总减径率之间的定量关系。
(1)诺伊曼(F.Neumann)的计算方法。当总减径率为25%~30%时,不可能有减壁率,总减径率为50%~60%时,可能的总减壁率为总减径率的1/4~1/3。当总减径率高达70%以上时,可能的总减壁率为减径率的40%。
(2)罗德尔(W.Rodder)的经验曲线(图4)。

纵坐标:减壁率/% 横坐标:减径率/% 图4 总减径率和减壁率的关系图
1理论最大值;2实际值
(3)意大利因诺森蒂(Innocenti)公司的经验式:
当ΔD/D≥50%时△S/S=(ΔD/D-13%)×0.55
当ΔD/D<50%时△S/S=(ΔD/D-16%)×0.55
在ΔD/D已定时,则可确定所能达到的最大减壁率。
用以上(2)、(3)两种方法计算所得的结果相近。
转速计算方法的理论基础是各架金属秒流量相等:

式中Dk为轧辊工作直径;nB为轧辊转速;D为管子外径;S为管子壁厚;b为孔型高度;y为系数。
上式说明任一架的转速为常数C被[Dki(Di-Si)Si]所除而得的商,所以计算nBi主要是确定Dki和Si。
因诺森蒂公司推荐的y值如下:

张力减径过程中在始轧机架中由于张力渐渐升起,所以管壁有增厚现象,而在终轧机架中由于张力逐渐消失,管壁同样也有增厚现象,因此沿轧机长度方向壁厚的变化如图5所示。这是张力减径过程中壁厚的变化的一般规律。若始轧机架为2~3架,取第1架壁厚增厚,第2架壁厚不变(或稍减薄,但仍大于来料壁厚),第3架壁厚减薄(但仍大于来料壁厚)。第4架减壁,并等于中间机架的减壁量。始轧机架壁增厚或减薄值一般在0.03~0.08mm范围内。
若终轧机架为3架,取成品机架有增厚(或壁厚不变),成品前架也是增厚,成品前第2架有增厚或减薄。终轧机架的增厚或减薄值一般在0.01~0.03mm范围内,一般是成品前第2架或第3架的管壁最薄。
中间机架的平均减壁率(%)按下式计算:


图5各架壁厚分布示意图
张力减径时金属流动的基本方程式 分析张力减径的金属流动多用西贝尔(E.Siebel)和韦伯(E.Weber)提出的塑性理论,这是因为管子减径过程和钢管空拔很相似。但由于也存在着差异,仅能给出定性分析。
西贝尔公式从塑性变形的基本假设出发,得出在某一方向上的对数变形φ与该方向的正应力σ和平均应力σm之差成正比,得出金属流动的基本方程式为(图6):

由上式可看出,各方向的变形大小由各方向的正应力和平均应力之差值决定。

图6 减径时的应力分析
保罗(Paul)和格吕纳(GrLiner)在西贝尔提出的方程中引入塑性变形条件:
σ1-σt=Kf
式中Kf为变形抗力,是材料单向屈服应力,相当于拉伸试验时的屈服点,在没有加工硬化时Kf是定值;考虑加工硬化的情况下,Kf改成平均值Kfm。
假设径向应力σr=0,则根据方程式(2)可得:
![]()
将式(3)和(4)代入式(1),再用Kf除,则得到如下的比例等式:
![]()
式中Z=σ1/Kf即张力系数。
由式(5)可明显看出张力系数的作用,即在不同作用下金属流动的情况有以下3种:
![]()
这意味着径向压缩时金属一半流向长度方向(即延伸),一半流向管壁(即壁增厚)。这种应力状态下的减径变形,即为无张力减径机中的钢管变形情况,称为对称变形。但在一般减径过程中,由于壁厚变化受多种外界因素影响,并非是对称变形。
![]()
这意味着壁厚保持不变,径向压缩时金属仅向长度方向(纵向)流动,为平面变形。这种变形状态相当于微张力减径机变形情况。

这时径向压缩的金属和壁厚减薄的金属以等量而长度方向上流动(即又减径又减壁)。这是一种理想情况,因为如果σ1=Kf,钢管将被拉断,一般Z值不超过0.8。张力减径相当于在后两种情况之间,即
0.5≤Z<1
以上分析可大致给出张力对金属流动的影响。实际上σr不等于零,因此也不能忽略。在变形区中由入口到出口,σr σtσ1均在变化着,一般认为σr σt 由变形区入口到出口逐渐减小,这是因为σ1由变形区入口到出口是逐渐增加的。而作用在钢管横断面各环层上的σr也不相同,对于薄壁管,径向平均应力大小可用下式表示:
![]()
式中γ为壁厚系数

张力减径机减径率的分配和孔型设计
减径率的分配 原则是:开始的几个机架(一般为2~3架)为张力升起机架,ΔD/D值(减径率符号ρ)较中间机架为小;末尾的几个机架(一般为3~4架)是张力降落机架,最后一架取ΔD/D<1%,成品前架取ΔD/D<3%,倒数成品前第二架的ρ与正常ΔD/D值的差不应大于3%。图7为各架减径率的典型分配。

纵坐标:每架减径率/%
图7 各架减径率的分配
平均减径率可用下式确定:
![]()
式中n为机架总数,n-4为有效机架数目。
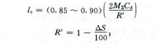
孔型设计 三辊张减孔型(图8,)设计的基本公式如下。

图8 三辊减径机孔型



图9 ζ 和 ρ 的关系
在进行孔型设计时以上几式是计算的基本公式。当减径率分配已定,即ρ已知,ζ可由图9曲线查得。当ρ和ζ已知后,则可求出α,然后由d和α求a和b。
由于上述公式中仅用ζ=bi-1/ai这一参数来考虑宽展,为了可靠,需引进一个参数λ(%):
λ=(ai-1-bi)/(ai-bi-1)×100
式中分子表示前一架孔型的长半径和后一架孔型短半径之差,即高度上的绝对压下量△bi;分母表示后一架孔型长半径和前一架孔型短半径之差,即宽展量△ai。λ表示两者之间的比例关系。
意大利因诺森蒂公司所推荐的州直如下:

计算时有时α和λ两个参数有矛盾。通常是把λ做一个核算参数,当差异较大时应重新计算。
张力减径管的尺寸精度
内多边形 张力减径和无张力减径类似,轧制时沿孔型周边壁厚分布是不均匀,无张力减径时内孔常出现多边形。形成内多边形的趋势如下:
(1)S/D愈小,壁厚不均愈小,当S/D为0.05~0.10时内孔不圆现象几乎不出现;
(2)当S/D较小时,张力大小对内孔形状没有多大影响,厚壁管的减径应在微张力下工作;
(3)减径量愈小,则内孔形状愈好;
(4)孔型的椭圆度愈大,则内孔形状愈差。
纵向壁厚不均 张力减径的主要问题是产生较大的纵向壁厚不均,这是由于管子两端所承受的张力与管子中间不同。所以轧制后管子两端壁厚,中问壁薄,导致切头长度增加。
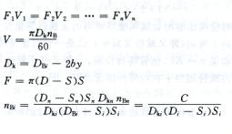
切头长度可用罗德尔公式计算:

式中△S为减壁量;Cd为机架间距;Mε为总延伸系数。
张力减径机的力能参数

式中F为接触面积,Dc为轧前轧后管径平均值;η为估计外区对平均单位压力的影响系数,η=1+0.9Dc/l×(S/Dc)1/2;l为变形区长度;S为来料壁厚;ZH、Z为前后张力系数。
接触面积按下式确定:

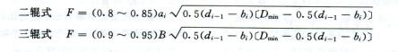
张力减径时的轧制力矩按下式确定:

式中,f为金属和轧辊间摩擦系数;P为轧制力;d为孔型直径;Di为轧辊理想直径;θk为工作直径的特征角。
前后张力造成的力矩是相反的,张力减径时每一架的轧制力矩取决于前后张力之比值是增加还是减小。第1架和最后2~3架条件完全不同。如第1架力矩减小,这是前张力作用的结果;相反,在最后一架力矩减小是由于后张力作用力矩的增加。在中间机架中由于前后张力值相接近,轧制力矩处于稳定。
| |


