疲劳试验
一、疲劳失效特点
在交变载荷作用下正常运转的机器零件突然断裂称为疲劳。

统计表明,失效的机器零件约80%毁于疲劳。疲劳损坏具有以下特点:
① 导致疲劳破坏的应力水平低,疲劳极限低于抗拉强度,甚至低于屈服强度,并且须经过多次应力循环,一般需经历数千次以至数百万次后才失效。
② 疲劳断裂后,不显示宏观塑性变形,典型的疲劳断口上一般可观察到三个部分,如图1 所示的疲劳源、疲劳裂纹扩展区和静断区。扩展区一般呈致密的瓷状、有时可看到平行裂纹前沿的海滩状线条,静断区是裂纹发展到一定深度后,剩下的面积在一次或很少几次循环中断开,形成粗糙的断面,呈纤维或结晶状。

▲图1 典型疲劳断口的分区
③ 疲劳破坏对缺陷具有很大的敏感性,疲劳裂纹起源于零件高度应力集中的部分或表面缺陷处,如表面裂纹、软点、夹杂、突变的转角及刀痕等。用应力-时间(σ-t)的变化曲线来描述零件或试样所承受的循环载荷特点,如图2所示 。

▲图2 应力循环参数
图中的 T 为循环周期;σmax 为循环应力最大值;σmin 为循环应力最小值;σa 为应力半幅,σm为平均应力。
σa =(σmax -σmin )/2=Δσ/2
σm=(σmax +σmin )/2
另外定义r=σmin /σmax ,为对称系数。如是对称循环,则 r=-1;如是脉动循环,则 r=0 。
二、疲劳性能指标
最常用的表明零件或材料疲劳抗力的方法是疲劳曲线,即应力σ与断裂前的循环周次N(疲劳寿命)之间的关系曲线,通常用σ-lgN表示,如图3所示。

▲图3 疲劳曲线
2.1 疲劳极限与过载持久值线
疲劳曲线表明,应力水平σ高时,疲劳寿命N短;σ低时,疲劳寿命N长。当应力低到某一定值时,虽经历次数很多的应力循环周次,也不再发生疲劳断裂,如图3 中曲线 a 这样的应力称为疲劳极限,用 σ-1 表示,注脚-1表示对称循环,如不是对称循环则以对称系数 r 的实际数值为注脚,即 σr。应力循环经过10E7不发生断裂,即可认为不再断裂,故10E7为一般疲劳极限的基数。对高强度钢、铜、铝等金属材料,腐蚀介质下以及大截面试件,无明显的疲劳极限,这时规定经历5×10E6、10E7或10E8次循环而不断的最高应力为条件疲劳极限,如图3曲线 b 。疲劳极限是对要求无限寿命的机件进行疲劳设计的重要依据。最常做的疲劳试验是平面弯曲、旋转弯曲和轴向拉压加载的疲劳试验。如未注明,则疲劳极限数据是在对称循环、旋转弯曲加载条件下得到的。
材料的疲劳极限 σ-1 与抗拉强度 σb 之间有较好的相关性,可用σb近似估算 。
碳钢和合金钢的对称弯曲疲劳极限一般可按下面的近似公式计算:
σ-1=a+bσb
对σb<1400MPa的碳钢和合金钢,推荐使用如下关系式:
σ-1=38+0.43σb(MPa)
有一些更精确的经验公式:
正火和退火碳钢:σ-1=8.4+0.454σb(MPa)
淬火+回火碳钢:σ-1=-0.24+0.515σb(MPa)
淬火+回火合金结构钢:σ-1=94+0.383σb(MPa)
σ-1与σb的关系也可以写成如下关系式:
σ-1=cσb
c 称为疲劳比。常用金属材料的疲劳比如下:


▲图4 p-σ-N曲线示例
2.3 疲劳缺口系数Kf
机器零件大都具有截面变化,例如键槽、油孔、轴肩及螺纹等,会产生应力集中,使疲劳极限降低。为表明应力集中对疲劳极限影响程度,定义Kf为疲劳缺口系数,亦称“有效应力集中系数”。
Kf=σ-1/σ-1n
式中 σ-1是光滑试样疲劳极限;σ-1n是缺口试样疲劳极限。 Kf、σ-1n当然与具体的缺口形状,如缺口深度、缺口根部圆角半径等参数有关,由于缺口形状变化复杂,为避免大量实验工作,工程上常采用一些计算公式计算 Kf 。
现在常用的计算公式有:
Neuber公式:

Peterson公式:

式中Kt为理论应力集中系数,ρ为缺口根部曲率半径,在接近疲劳极限的长寿命 区,ρ´ 和α为材料常数,取决于材料的强度和塑性,√ ρ´ 值可由图5查出。α值依Peterson的资料。对回火钢为0.0635;对正火钢为0.254;对铝合金为0.635。

郑州机械研究所 赵少汴 等人得出的 Kf 计算公式与多钢种、宽范围是试验结果符合良好:

式中的Q为相对应力梯度(1/mm),对于常见几何形状的零件,可食用表1中的公式计算,b、A是与热处理状态有关的常数,常用结构钢正火态A为0.423,b为0.279;热轧态A为0.336,b为0.152 。
▼表1 某些常见应力集中情况的相对应力梯度Q值







大多数零件都是在变幅载荷下工作。变幅载荷下的疲劳破坏,是不同频率、不同幅值的载荷所造成的损伤积累的结果。每一循环所造成的损伤可以认为是在此载荷下循环寿命N的倒数1/N,这种损伤是可以积累的。n次横幅载荷循环所造成的损伤等于其循环比之和,即D=
, l 为变幅载荷的应力水平级数,ni为第i级载荷的循环次数,Ni 为第i级载荷下的疲劳寿命。当D达到临界值Dc时,发生疲劳破坏。
现在工程上有很多种估算变幅疲劳积累损伤的方法,通用的估算法则是Miner法,即:![]()
精确的研究表明,Dc值并不等于1,通过一些实际零件变蝠循环疲劳破坏统计,得到不等于1的更为符合实际的Dc值 α时,则称为修正的Miner法则,有的文献推荐,α值取为0.7其寿命估算结果比Miner法则更安全,寿命估算精度比Miner法则有所提高。
2.6 低周疲劳
桥梁、容器、船舰、车辆、飞机等等的机件在工作过程中,处正常的地应力幅的应力循环外,还常常受到较大应力幅的循环。这样的应力幅往往接近或超过材料的屈服强度,使构件某些局部甚至整体产生较大的反复塑性变形。这种由于反复循环变形造成的疲劳破坏使其寿命比通常应力较低的疲劳寿命短,循环次数约为10E2~10E6(100~100000),称为低周疲劳。
在讨论低周疲劳时,首先要提到循环载荷作用下,材料的应力与应变的关系,及循环应力应变曲线。金属在弹性范围加载,其应力应变是可逆的;当加载超过弹性范围时,应变滞后于应力,形成应变滞后回线。在循环加载初期,应力应变回线并不封闭,他的形状随循环次数而变,只有经过一定周次循环后,才形成封闭的稳定的滞后回线。将应变幅控制在不同的水平上,可以得到一系列大小不同的滞后回线,将其顶点连接起来,则可得到材料的循环应力应变全曲线。循环应力应变曲线,是不同应变域或应力幅情况下滞后回线顶点的轨迹,如图9所示 。

▲图9 循环应力应变曲线
循环应力应变曲线可以高于或低于单调加载的应力应变曲线。高于单调加载的应力应变曲线称为循环硬化,反之称为循环软化。
循环应力应变曲线也可由如下形式的公式表示,即:

式中σ——正应力(MPa)
εp——塑性应变
K´——循环强度系数(MPa)
n´——循环应变强化指数,在0.10~0.20之间。
ε ——正应变,总应变;
E ——弹性模量
在低周疲劳试验中,通常把应变选为控制变量,建立应变范围Δεt和循环断裂周次Nf 之间的曲线,叫做“应变-寿命” 曲线。 考虑到一个循环中包括载荷的2次反向,故低周疲劳中常把总寿命纪委2Nf, 2Nf即反向数。典型的应变幅Δεt/2与循环断裂反向次数 2Nf 曲线绘成双对数形式如图10所示 。

▲图10 低周疲劳应变幅-寿命曲线
应变幅Δεt可分为弹性部分Δεe 和塑性部分Δεp ,整个曲线又可分为Δεe/2-2Nf 和Δεp/2-2Nf 两条曲线,其数学表达式为:

工程上常假定对所有材料Δεe -N和 Δεp -N 曲线的斜率都是共同的,得出所谓“通用斜率方程”为:

式中 D——断裂伸长率,可用静拉伸正断裂伸长率 εf 表示。
这样就可根据静拉伸性能和循环应变计算低周疲劳断裂寿命。
低周疲劳试验,要求能够有充分可调整的频率范围,可变化的加载波形,精确的应变、应力或行程控制和测量系统,以及复杂的程序控制加记录和数据处理系统。近代发展起来的电液伺服疲劳试验机可以满足这些要求,是低周疲劳的试验工作得到很大推进。
表3 是某些钢铁材料的单调与循环应变特性。
表3 某些钢铁材料的单调与循环应变特性

三、常用结构钢及球墨铸铁热处理后的疲劳性能
3.1 强度和冲击韧性对疲劳极限的影响
材料的疲劳极限与材料的抗拉强度有密切关系,随抗拉强度σb的升高而升高,图11 是低碳钢、低碳中合金钢不同处理状态弯曲疲劳极限 σ-1 与抗拉强度 σb 的关系,对于光滑试样,大约有如下的关系:
σ-1 =(0.37~0.52)σb (MPa)
不同的回火温度,最终影响的是钢的抗拉强度,所以不同回火温度最终也影响的是钢的疲劳极限,图12 所示为45钢疲劳极限与回火温度的关系。

▲图11 弯曲疲劳极限与抗拉强度的关系

▲图12 45钢疲劳极限与回火温度的关系
对于球墨铸铁而言,珠光体含量影响抗拉强度,从而表现为珠光体含量对疲劳极限的影响。图13 所示为稀土镁珠光体球铁珠光体含量与疲劳极限的关系。

▲图13 稀土镁球铁珠珠光体含量与疲劳极限的关系
3.2 热处理对疲劳极限的影响
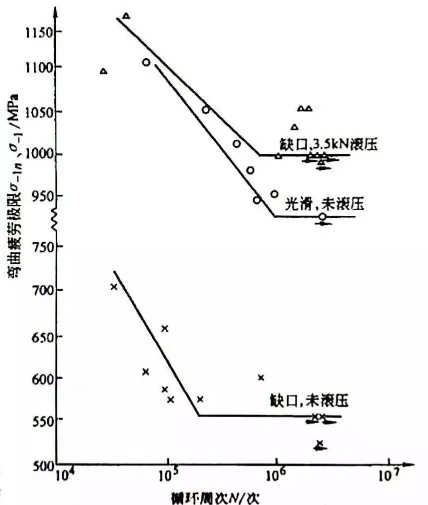
复合组织(以高强度马氏体为基,带有一定形状、数量分布的残留奥氏体、铁素体、贝氏体等第二相)是钢材强化的新途径, 图14 所示为5CrNiMo钢不同马氏体、下贝氏体比值的复合组织的疲劳曲线。

等温淬火与淬火+回火比较,在相同硬度(也可以认为是在相同的静拉伸强度)下,有较高的疲劳强度,图 15 所示为30CrMnSi钢两种处理方法的比较。

▲图15 30CrMnSi钢等温淬火与淬火+回火疲劳极限比较
4.3 强度和韧性对过载持久值的影响
疲劳极限主要取决于材料强度,而过载持久值部分则与材料的强度和韧性有密切关系,如图16 所示 。

▲图16 强度和韧性对过载持久值的影响
4.4 表面热处理和形变热处理能明显提高零件疲劳强度
常用的表面热处理有渗碳、渗氮、碳氮共渗、感应淬火、喷丸、滚压记忆这些工艺的复合处理。图17~图21所示,为各种表面强化工艺对疲劳强度的影响效果。





对于一些承受冲击载荷的零件(如凿岩机活塞、锻锤锤杆、锻模、火车车轮、钢轨头部等零件)习惯上认为可以一次冲击所得冲击韧度来表明这类零件冲击载荷的抗力,但是一次冲击是大能量一次冲断的过程,而上述承受冲击载荷的零件是小能量多次冲断的过程,两者破断过程不同,因而具有不同的性质。
小能量多次冲击试验,一般是用一定长度和直径的圆柱试样,经三点或四点冲击弯曲加载或拉伸冲击加载,用冲击能量A和相应的破断周次N绘成A-N曲线来表示抗多次冲击加载的能力。多次冲击弯曲试验见图22 。所得典型弯曲A-N曲线见图23。

▲图22 多次冲击弯曲试验

可以看出,35钢200℃回火时强度高、塑性低,500℃回火时强度低塑性高,两条 A-N 曲线有一个交点。交点以左,塑性高的多次冲击抗力高,交点以右,强度高的多次冲击抗力高。由此表明交点左右,决定多次冲击抗力的主导因素发生了转移。对大量强、塑性配合不同的材料进行试验,表明交点位置仅仅在大约几百次到几万次之间变化。即使此时,试样单位体积所承受的冲击能量也是远远超过上述承受冲击零件单位体积所承受的冲击能量,因而,对承受冲击载荷的零件,主要是应该要求较高的强度,而不是较大的冲击韧度。用这样的观点来改进锤杆、凿岩机活塞、钎尾、钎杆的材料和工艺,使零件寿命得到了成倍和甚至几倍的提高。


▲图25 合金结构钢在同强度条件下,一次冲击韧度与多次破坏次数N的关系
1-40钢 2-40MnB 3-40CrNiMoA






六、疲劳试验技术
6.1 疲劳曲线和疲劳极限的测定
GB/T3075-xxxx《金属轴向疲劳试验方法》和GB/T4337-xxxx《金属旋转弯曲疲劳试验方法》是常用的疲劳曲线和疲劳极限测定方法。GM/T4337-xxxx旋转弯曲疲劳试验可以是悬臂式加载,也可以是试样两端均有支承的四点加载,四点加载是试样试样受载情况见图28,图中还示意表示出试样沿断面说受弯矩M和弯曲应力σ 。

▲图28 圆柱试样四点弯曲加载
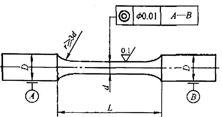
推荐的试样形状尺寸见图29,其直径 d 为6、7.5、9.5 公差 ±0.05 ,加持端之间距离L为40 。

▲图29 标准圆柱试样尺寸

实物图样
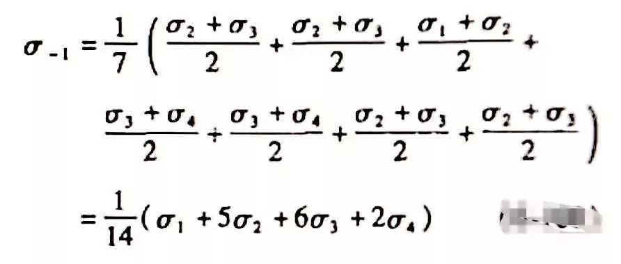
标准推荐测定疲劳极限采用升降法,其步骤是去试样13-16根,根据已有的资料,对疲劳极限做一粗略估计,应力增量Δσ一般选为预计疲劳极限的3%~5%,试验一般在3~5级应力水平下进行。第一根试样的应力水平略高于预计疲劳极限,如果在达到规定疲劳极限循环次数(如10E7)不断时,则下一根试样升高Δσ进行;反之,则降低Δσ进行,这样直至全完部完成试验。图30所示,为升降法测疲劳极限,有16个点组成。

▲图30 升降法测疲劳极限
处理数据时,在第一对出现相反的结果以前的数据均舍去。图中点3和点4是第一对出现的相反的结果,因此,点1和点2舍去。儿第一次出现相反结果的点3和点4的平均应力值(σ2+σ3)/2,就是单点试验法给出的疲劳极限值。如此把所有临近出现相反结果的数据点均配成对子,即7和8 , 10和11, 12和13 ,15和16 ,最后,对于不能直接配对的9和和14也凑成一对,总共有7个对子,这7个对子求得的7个疲劳极限的平均值,即可作为疲劳极限的精确值σ-1。

还可以写成普遍式:

这样求得的疲劳极限存活率为50% 。如果需要可对试验结果用数理统计方法进行数据处理,求出任一存活率下的疲劳极限。
疲劳曲线的测定,标准规定至少取4~5级应力水平,用升降法测得疲劳极限做σ-N曲线的地应力水平点,其它3~4级较高应水平的试验侧采用成组法,每组试样数量取决于试验数据分散度和所要求的的置信度,通常,一族需5根左右,以最大应力或最大应力的对数为纵坐标,以疲劳寿命的对数为横坐标,将试验数据一
一标在单对数或双对数坐标上,用直线进行最佳拟合,即呈旋转弯曲试验曲线(σ-N曲线)见图31 。

▲图31 40Cr钢旋转弯曲疲劳试验曲线
6.2 疲劳门槛值ΔKth 和裂纹扩展速率da/dN的测定
GB/T6398-xxxx《金属材料疲劳裂纹扩展速率测定方法》规定,测定疲劳门槛值 ΔKth 可用三点弯曲,紧凑拉伸或中心裂纹试样,形状尺寸与平面应变断裂韧度 KlC 试样相同 。试样线预制裂纹,与 KlC 试样预制裂纹相同,预制裂纹最大载荷Fmax 不能大于测定 ΔKth 初始的Fmax 。现在国内常用电磁震荡式高频疲劳试验机或电液伺服疲劳试验机,常用降载法测定 ΔKth 。即先在较高的 ΔF 下循环,裂纹有明显的增长,则降低 ΔF 值,da/dN 也形影减慢;这样一级一级地降载da/dN也逐步减慢,知道裂纹停止的最大ΔK,即为 ΔKth 。定义循环10E6周次,裂纹扩展小于0.1mm,即da/dN<10E-7mm时的 ΔK为 ΔKth 。为了避免上一级对下一级 ΔK 裂纹扩展产生所产生的过载停滞作用和残留应力作用,一方面两级ΔK之差不要太大(不大于10%);另一方面,在每一级ΔK时,要经过一定长度的裂纹扩展量Δa,再进行da/dN测定,规定Δa要大于上一级区宽度 ry 的4~6倍,ry =a(Kmax/σ0.2)²,对平面应力a=1/2π ;对平面应变a=1/6π 。
裂纹长度测量常用方法有显微镜法,交直流电位法等一些试验机附有自动分析处理数据的软件。
可用同一试样,测其 ΔKth 后接着测量da/dN,在裂纹扩展过程中,隔一段时间,测量一次裂纹扩展量da并记录相应循环周次N,得出长度a与循环周次N的记录曲线,见图32 。

▲图31 裂纹扩展量与相应循环周次记录
试验完毕后,依载荷即相应裂纹长度计算应力强度因子范围 ΔK 。并用割线法、图解微分法或递增多项法计算相应的da/dN,标准中附有7点递增多项处理数据的程序。
6.3 低周疲劳试验
低周疲劳试验的任务主要是测的材料的如图33 所示的 εt-Nf 曲线以及组成这条曲线的 εp-Nf 和 εe-Nf 曲线。通常用圆棒形试样,轴向加载,在电液伺服疲劳试验机上进行。试验时,根据要求圆棒-时间波形、应变振幅和加载频率。低周疲劳试验一般选用三角波,以使循环过程中应变速率恒定,加载频率通常随应变振幅减小而提高,这样可使长寿命和短寿命试验的试样应变速率答题相同。低周疲劳试验循环频率低,一般在0.1-1Hz范围。对大多数金属材料,应变振幅选在±2.0%和±0.2%之间,就可得到一条较好的低周疲劳曲线,约需10~15根试样。
试验规程中,要测量记录如下数据:
1,循环应力应变滞环。低周疲劳试验中将出现应力-应变滞环,见图32 。

▲图32 应力-应变滞环
从应力应变滞环中可以观察到:
1)测量在循环受载调价下是循环硬化还是循环软化。
2)依滞环面积和形状,计算每一循环中弹性应变大小和塑性应变大小以及其在总应变中所占的比例。
3)在实验后期,可以从滞环形状变化看出裂纹是否出现,裂纹出现时,应力幅将下降。所以在实验开始阶段,滞环连续记录,中间阶段可隔一定循环记录一次。因低周疲劳变形速率不高,可用一般X-Y记录仪记录滞环。
2,应力循环次数变化曲线
记录以来变化曲线,可知材料以来循环硬化还是软化,到饰演后期,可预知裂纹出现情况。裂纹出现时,加载过程中应力将下降,卸载过程中,裂纹闭合时,卸载曲线将发生突然转折,称为“拐点”。可用带记条带记录仪记录下来。
3,应变速率
试验中用条带记录仪记录波形-时间,以计算应变速率 ε =dε/dt 。
4,失效循环数(即疲劳寿命)Ni
循环过程中出现裂纹,在卸载曲线上出现拐点。裂纹月神越长个,出现拐点的应力水平越高,试验中以拐点出现的规定应力水平所对应的的循环周次里定义失效循环寿命数(疲劳寿命)Ni 。
七、疲劳试验机
疲劳试验机有机械传动、液压传动、电磁振荡机电液伺服等类型,机械传动累中有重力加载、曲柄连杆加载、飞轮惯性式、机械震荡等形式,以下简述常用的几种疲劳试验机。
7.1 旋转弯曲疲劳试验机
这种试验机历史悠久,是积累数据最多、至今仍在广泛应用的疲劳试验设备,他是从模拟轴类工作条件发展起来的。图33所示,为旋转弯曲疲劳试验机外形图。

▲图32 旋转弯曲疲劳试验机外形图
1-砝码 2-吊杆 3-横梁 4-转筒 5-试样 6-活动联轴器 7-计数器 8-电动机 9-手轮
试样5余左右弹簧夹头连成一个整体的转梁。用左右两对滚动轴承四点支承在一对转筒4内,电动机8通过计数器7、活动联轴器6带动在转筒内转动,加载砝码1通过吊杆2和横梁3作用在转筒4上,从而使试样承受一个恒弯矩。吊钟不动,试样转动,则试样截面上臭手对称弯曲应力。当试样疲劳断裂时,转筒4落下触动停车开关,计数器几下循环周次N,这样的试验机转速一般在3000~10000r/min,9位加载卸载手轮。

弯曲疲劳试验机实物图片
7.2 电磁谐振疲劳试验机
Roell-Amsler公司的HFP5100形电磁谐振疲劳试验机是多功能的、得到广泛应用的疲劳试验机,经过多面不断改进,结构和性能都更加完善和理。其结构示意图见图33 。

基本上是由激振质量(可调节)M2,预载弹簧C2、 上横梁M1、基础质量M0等串联组成的机械式振动系统。振动体有一个极小微的振动传感器得到一个与之相应的同位相、同频率的强大电流通入激振磁铁F、由磁铁对试样施加同位相同频率的循环作用力,使试样以系统固有频率经受循环载荷进行疲劳试验。
频率由上述诸M和C决定,其中C2、M1、M0和C0 都是机器本身确定不变的,
C1则由试样形状和存储决定。为了改变频率,可改变试样形状尺寸,还可以改变激振质量M2 。M2由4个质量块组成,可以有5中不同组合方式。
试样的平均载荷(静载荷部分)可通过一个伺服直流马达p驱动一个无间隙的丝杠t移动下横梁L,通过预载弹簧C2 施加给试样C1 。
下横梁移动还可改变装置试样的空间以安装不同高度的试样。

电磁谐振疲劳试验机图片
7.3 电液伺服疲劳试验机
电子计算机控制的电液伺服材料试验机是现代最为完善、最为先进的材料试验机,对低周疲劳、随机疲劳、断裂力学的各项试验开展有了很大的推动。电液伺服疲劳试验机的准确性、灵敏性和可靠性比其他类型的试验机都要高,可以实现载荷控制、位移控制或应变控制的任何一种方式,何在裂纹扩展过程中保持恒定,可以测出试样的应力应变关系、应力应变滞后回线随周次的变化,可任意选择应力循环波形;配用计算机后,可进行复杂的程序控制加载,数据处理分析以及打印、显示和绘图;可以通过伺服阀与执行器的各种配置,加上适当的泵源,组成频率范围在0.0001~300Hz的各种系统。吨位容量范围在1~3000t,适用于试件即各种结构。
图34所示,为国际上广泛使用的Instron和MTS电液伺服试验机原理图。

输入单元Ⅰ通过伺服控制器Ⅱ将控制信号给到伺服阀1,用控制信号来控制从高压液压源Ⅲ来的高压油推动动作器2变成机械运动作用到试样3上。同时,载荷传感器4、应变传感器5和位移传感器6又把应力、应变、位移转化成电信号。其中一路反馈到伺服控制器中与给定信号比较,将差值信号送到伺服阀、调整动作器位置,不断反复此过程,最后使试样上承受的力达到要求精度;而力、位移、应变的另一路信号通入读出单元Ⅳ上,实现显示记录功能 。

电液伺服疲劳试验机图片
(本平台"常州精密钢管博客网"的部分图文来自网络转载,转载目的在于传递更多技术信息。我们尊重原创,版权归原作者所有,若未能找到作者和出处望请谅解,敬请联系主编微信号:steel_tube,进行删除或付稿费,多谢!)

