1.硬度概要
硬度的定义:
Ø材料局部抵抗硬物压入其表面的能力称为硬度。Ø固体对外界物体入侵的局部抵抗能力,是比较各种材料软硬的指标。
常用硬度测量方法和分类
•硬度测量基本可分为压入法和划痕法。
•在压入法中,根据加载速度不同又可分为静载压入法和动载压入法(弹性回跳法)。
•在静载压入法中根据载荷、压头和表示方方法不同,又可分为布氏硬度、洛氏硬度、维氏硬度和显微硬度等多种。
压入法比较简单,能测量所有金属材料的硬度,不损坏零件,而且在一定条件下和材料抗拉强度等性能指标有一定关系,可由硬度值推断其他强度指标,实际工作中使用最多。
金属硬度实验方法国家标准及使用范围

2.试验原理
布氏硬度试验原理:
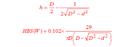
Ø布氏硬度的测量原理是用一定载荷P(kgf),把直径为D(mm)的淬火钢球或硬质合金头压入被测金属的表面,保持一定时间后卸载,根据金属压痕的表面积F(mm2),除载荷所得的商值即为布氏硬度。Ø其符号用HB表示,代表单位压痕面积上所承受的压力,一般不标出单位。

在实际实验时,由于测量压痕直径d比h方便,因此将上式h换算成d的表达式。

式中,HBS、HBW分别代表用钢球和金刚石压头测得的硬度,d是唯一变量,试验是只要测出压痕直径d(mm),可通过计算,或查布氏硬度表即可得到HB值。
由于金属软硬不同,工件薄厚、大小不同,不能仅采用一种标准载荷和钢球直径D,需要在生产实验时,能使用不同大小负荷P和钢球直径D。

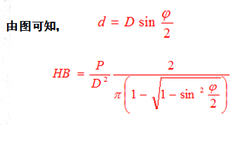
•对同一种材料采用不同载荷和钢球直径,能否得到同一硬度值,关键在于压痕的几何形状相似性。如图所示,要保证几何相似性,必须保证钢球压入角j相等。

•此式说明,若压入角不变,为了使同一种材料二者所得HB不变,则要求P/D2保持常数,这就是由压痕相似性原理导出的P和D选配原则,硬度实验时必须执行。•国家标准规定布氏硬度实验时, P/D2的比值为30,10,2.5三种,根据金属材料种类、试样硬度范围和厚度的不同,按照小表规范选择钢球直径P、载荷P记载和保持时间。
布氏硬度测定的技术要求:
Ø试样表面要与试验台平行,并有一定的光洁度,以使压痕边缘清晰,保证精确测量压痕直径d。Ø压痕应距试样边缘>D(钢球直径),两压痕之间的距离>2D。Ø测定压痕直径时,应在相互垂直的方向上测量直径,取其平均值为d。Ø为表明试验条件,可在HB值后标注D/P/T,如HB 10/3000/10,即表示此硬度值是在D=10mm,P=3000Kgf,T=10秒的条件下得到的

洛氏硬度试验原理:
•洛氏硬度是目前使用最为广泛的实验方法,和布氏硬度一样,也是一种压入硬度实验方法,但它不是测量压痕面积,而是测量压痕深度,以深度大小表示材料的硬度值。•压头采用锥角为120o的金刚石圆锥或直径为1.588mm(1/6 inch)的钢球。•载荷分两次加,先加初载P1,然后加主载荷P2,其总载荷为P=P1+P2。

图中0-0为金刚石压头没有和试样接触位置,1-1为压头受到初载P1后压入试样深度为h0的位置,2-2为受到主载荷P2后压入试样深度为h1的位置,3-3为压头卸掉主载荷仍保留初载P1下的位置,由于弹性恢复,压头位置提高了h2。此时压头受主载荷作用压入深度为 h:h=h1-h2
h值来衡量材料的硬度。
金属越硬,压痕深度越小;金属越软,压痕深度越大。若直接以深度h作为硬度值,会出现材料越软,h值反而越大的情况。为了适应人们认为硬度越高,材料越硬的习惯相一致,认为规定以常数K减去h值作为落实硬度值的指标,并规定每0.002mm为一个洛氏硬度单位,用符号HR表示:

为了能用一种硬度测定从软到硬的金属材料硬度,采用了不同的压头和总载荷,组合成几种不同的洛氏硬度标度,每一种标度用一个字母载洛氏硬度符号HR后加以标注,我国常用HRA, HRB, HRC三种,见表1-4。

3.硬度试验
洛氏硬度试验注意事项:
Ø试样45钢的被测表面和底面应该相互平行,除去上下表面的铁锈和脏物,必要的时候可以用砂纸打磨一下。Ø更换试台时,须将丝杆降低,并注意避免碰坏压头。
Ø整个试验期间,硬度计不应受到影响试样结果的冲击和震动。Ø每次改变、移动或替换压头、跕座之后,至少压两个压痕来确定压头与跕座装配合适。
洛氏硬度试验步骤:
1、将机身后端电源插头接上电源后,打开机身右侧下方的光源开关,使在投影屏上能看到清晰的影像。
2、根据试验要求选用压头,安装时应使压头的肩部与主轴端面紧密接触,然后适当拧紧紧固螺钉。
3、根据试验需要选择试验力,转动机身右侧的变换旋钮使所需试验力对正标记。将手柄推向后方,把试件和工作台擦拭干净后,把试件放到工作台上,顺时针转动手轮使试样的试面与压头接触,继续缓慢转动手轮,使试样继续升高。
4、预加载和加载总试验力,同步观察显示屏,直到满格。
5、卸载总试验力后,显示屏上出现的数值即为洛氏硬度。
6、降下试台取出试样。
7、现在注意观察每个试样上的试验点不少于4个,第一点不记。下面来测其他三个点的硬度。两压痕中心间的距离至少为压痕直径的4倍,且不应小于4mm。任一压痕中心距试样边缘的距离至少为压痕直径的2.5倍,且不应小于2mm。两相邻压痕的中心距离至少为压痕直径的3倍。压痕中心距试样边缘距离至少为压痕直径的2.5倍。
测量布氏或维氏硬度时,操作方法同上。但取下试样后必须用读数显微镜测量压痕的直径(布氏法)或对角线的长度(维氏法),再在相应硬度对照表中查出硬度值。
| |


