● 断裂韧性是指含裂纹材料抵抗快速失稳断裂的能力。
实际工程结构中,比如大型转动件、高压容器、船舶、桥梁等,有时在工作应力远低于屈服应力下发生了低应力的脆断。大量失效案例分析后表明,这种破坏是与零部件本身存在裂纹及其裂纹的疲劳扩展有密切关系,典型的断口形貌如图2-18、图2-19 所示。
一般而言,零部件及材料本身难免存在因冶金、加工、焊接等过程引入的加工缺陷,如微裂纹。在外加应力尤其是疲劳载荷作用下,有的微裂纹在使用中发展成宏观裂纹。一旦裂纹尺寸达到材料固有的临界尺寸时,便会失稳扩展,发生低应力的脆断。


图2-23脆性断裂断口形貌
事实上,晶体材料的理论断裂强度可用图2-24所示的原子键合力进行估算。

● 材料的拉断是晶体材料在拉应力作用下沿与拉应力垂直的原子面被拉开的过程。
在这一断裂过程中,外力作的功消耗在断口上,即断口的表面能。
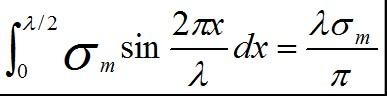
设想完整的晶体材料被解理面分开成两半晶体,其解理面的晶面间距为a0, 沿拉力方向发生相对位移x, 当位移很大时,位移和作用力的关系并不是线性关系。而原子间的相互作用力最初是随x的增大而增大,但达到一峰值σm后就逐渐下降,见图2-24。
为了近似地求出图2-24下的面积,用正弦函数描述应力的变化趋势,其关系式为:

式中λ为正弦曲线的波长,x为原子间距, σm是原子断开时所需的最大应力,即晶体的理论断裂应力。
当断裂发生时,单位面积上作的功可近似表示为:

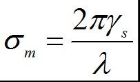
● 晶体拉断后产生了两个新表面
令单位面积的表面能用 γs表示。在拉断过程中,应力所作的功(2-12)应等于表面能 2γs,则有:

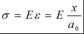
再设曲线开始部分近似为直线,服从虎克定律,即有:

式中a0为平衡状态时的原子间距。
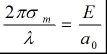
比较(2-11)、(2-14),得:

结合关系式(2-13)和(2-15),求得:

把物性常数E、γs 、 a0分别代入(2-16)中, 就可求得材料的理论断裂强度(断裂应力)。

常规碳钢的抗拉强度约480MPa,因而金属材料的实际断裂应力一般是理论断裂应力σm的1/10~1/100,陶瓷材料和高分子材料则更低。为什么二者会相差如此之多?
其实,早在1921年,英国Griffith就发现材料的实际强度远低于理论强度,其原因在于材料内部存在固有的缺陷。于是,他研究了陶瓷、玻璃的脆性断裂的机理问题。
他假定有一块单位厚度的薄板,两端在远处被固定并作用均匀拉伸应力σ。如果板内有一个长为2a的穿透裂纹,裂纹扩展的驱动力来自系统内部存储的弹性能释放, 如图2-25所示。若裂纹发生扩展,则裂纹面积会增加,增加单位面积所需的能量叫表面能 γs。




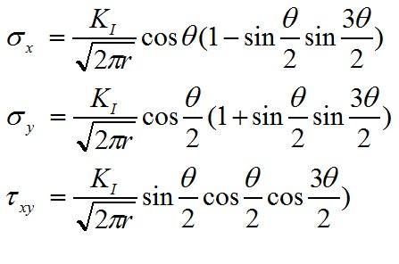
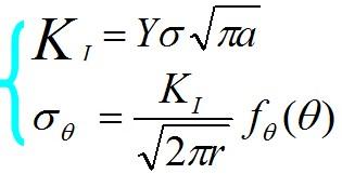
1957年,美国Irwin在Griffith理论基础上,推导出裂纹尖端附近(图2-27)的应力场:




KI与a、σ 之间存在以下的关系式:

其中, KI的量纲是N/m3/2 ;Y是几何形状系数,与试样尺寸有关,σθ 、 f(θ)分别是裂纹尖端附近的环向应力和角分布函数。
(2-21)、(2-23)式便是现代线性断裂力学的理论基础。
由 (2-22)可见,随外加应力σ的增加,KI也随之增大,当大到某一临界值时,裂纹尖端处的应力就达到足以使材料开裂,导致裂纹的失稳扩展:
即 KI = KIC (2-24)
其中, KIC为材料的断裂韧性值,量纲为N/m3/2。
KIC 值是材料断裂的性能常数,可以通过断裂试验测得。
● KI与KIC和应力σ与σb的关系相似性
对于无裂纹材料,当 σ=σb时,材料因塑性大变形而发生塑性断裂。 σ 是一个外加的、变化的应力, σb是材料的强度值,是一个固有的不变量,即物性常数。
同样地,对于含裂纹材料, 当 KI=KIC,材料发生脆性断裂, KI是一个随外力而变化的应力强度因子值,KIC是材料的断裂韧性值,是一个固有的不变量。
因此, σb 是材料的强度性能指标,而KIC是材料抵抗I型载荷裂纹失稳扩展的断裂性能指标,尤其是脆性材料断裂时的强度判据。
根据应力作用方式的不同(图2-28),材料的应力强度因子值共分张开型KI、滑开型KII、撕开型KIII 三种类型。
通过三种类型的加载方式,可分别测得材料的断裂韧性:KIC、KIIC、KIIIC, 这些值是材料防脆性断裂的设计判据。

图2-28 不同类型的应力强度因子
● 断裂力学进展
从材料变形看,裂纹尖端受外加应力作用后会有一定量的塑性变形,只是塑性变形程度大小不同而已。
因此,当今断裂力学已从原先的脆性断裂力学发展到弹塑性断裂力学。后又发展了考虑材料塑性变形的断裂韧性参数值,如J积分、裂纹张开位移COD、应变能扩展速率G等。
这些弹塑性断裂力学参数可以更好地反映材料断裂前发生一定量的塑性变形的断裂行为和损伤机理,为结构的可靠性设计提供了重要的理论依据。
不少成果已编入材料抗断裂设计的评定规范中,如 API法、 R6法、EPRI法、PD-6493法、ASME及我国的CVDA法等 。
| |


