
1. 1 设计阶段
(1) 制定行业规划。根据国家和地区中长期发展规划及产业政策,结合行业自身特点和发展规律,由政府主管部门或行业协会牵头制定行业规划。(2) 编制项目建议书。提出项目的轮廓设想,重点论证项目建设的必要性、目标、主要技术原则、建设条件和经济效益等,为项目的决策提供初步的依据,也是报主管部门批准立项和列入计划的依据。(3) 撰写可行性研究报告。根据国家和地区行业发展规划及产业政策,论证该项目的市场需求、关键技术、主要配套措施及投资效益和社会效益,以呈报主管部门核准或备案。(1) 初步设计。对工程项目分车间和部门进行初步设计。初步设计阶段的任务是:根据生产纲领和总体设计的要求,对车间的生产工艺、设备、人员、部门设置、物料需求和流动、设备布置等进行设计,计算工艺投资,并对车间建筑、结构、供电、供水、动力、采暖通风和环境治理等提出设计要求,保证设计的完整和协调。工艺部分初步设计的内容如下:(8) 绘制工艺设备平面布置图、剖面图,编制设备明细表、计算工艺投资。(10) 向土建、公用、总图、环保、节能、技经等专业提出设计任务资料。
1.3 施工设计
施工设计是将初步设计进一步深化和具体化,以满足施工、安装、调试和验收的要求。施工设计的内容如下:(1) 确定设备型号、规格、数量及其在车间的布置和详细的安装尺寸。(3) 提出厂房、构筑物和公用专业(采暖、通风、给排、动力、电气、安全环保等)施工设计的工艺要求、图样和说明。(4) 确定车间设备的基础和地下构筑物的结构、尺寸等。

2 热处理车间分类和特殊性
2.1 热处理车间分类
(1) 原材料及毛坯热处理车间(或称第一热处理车间):承担锻件、铸件毛坯热处理任务,主要实施退火、正火、调质等预备热处理工艺。这类车间也可附设在锻造、铸造等车间内。(2) 半成品及成品热处理车间(或称第二热处理车间):承担产品最终的热处理任务,主要实施淬火、回火、渗碳、感应加热淬火等热处理,以达到产品最终技术要求。这类车间常独立设置,与机加工车间相邻或设在机加工车间内。(3) 工具及机修件热处理车间:一般承担自制工具及机修件的毛坯热处理和最终热处理。(1) 小型热处理车间:热处理件年生产纲领≤1000t;(2) 中型热处理车间:热处理件年生产纲领为1000~3000t;(3) 大型热处理车间:热处理件年生产纲领>3000t;(4) 重型热处理车间:重型、矿山机器厂等重型工厂热处理车间。
2.2 热处理车间生产的特殊性
(1) 热处理件的品种多和技术要求变化大,需检测的项目多,如金相组织、硬度、渗层深度等。
3 热处理车间生产任务和生产纲领
根据项目设计规定的产品产量和分工,确定热处理车间承担的生产任务。
3.2 生产纲领
生产纲领是指车间承担的热处理件的年生产量,是根据项目产品产量以及单台
产品热处理件数量、重量和零件热处理工艺要求,同时结合产品特点、企业生产工艺水平确定的备(废)品率计算出产品热处理纲领,然后加上辅助专业提出的工具机修件数量(有协入件的热处理车间还要加上协入件数量)综合编制而成的。它决定了车间的规模,是确定工艺和选择设备的依据。热处理车间纲领以年生产重量(t/a即吨/年)表示,个别工艺如高、中频感应加热表面淬火件以年生产件数(件/a即件/年) 表示。在编制纲领表时,应将零件及工具、机修件等热处理纲领分别列出,见表1 。
▼表1 热处理生产纲领表

3.3 工序纲领
根据产品零件的热处理工艺要求,按工序分类统计计算。
3.4 辅助生产纲领
自制工具、机修件的热处理生产纲领,应由工具和机修车间的规模确定。

4 车间工作制度及年时基数
4.1 工作制度
热处理车间的工作制度,应根据车间的规模、生产特点、工艺水平和类型区别对待,合理确定,以达到充分利用设备、节约能源、便于组织生产的目的。一般中小件的综合热处理车间或工段,高、中频感应加热热处理工段,采用二班制;部分生产周期长的,如渗碳淬火、碳氮共渗、渗氮等设备及连续生产线宜采用二班制或三班制。大型零件热处理车间及大量生产的热处理车间采用三班工作制。有的车间或设备双休日不停产,采用连续工作制。在加工流水线上的热处理设备所采用的工作制度,应与整个流水线的生产班次相适应。小型热处理工段,由于任务量小,负荷低,且无就近协作可能的,可采用一班制。个别设备采用二班或三班制。
4.2 年时基数
设备设计年时基数为设备在全年内的总工时数,等于在全年工作日内应工作的时数减去各种时间损失,见表2。

▼表3 热处理车间工人设计年时基数


5 工艺设计
5.1 工艺设计的基本原则
热处理工艺设计是热处理车间设计的中心环节,是设备选择的主要依据。热处理车间工艺设计的基本原则如下:(1) 符合国家和项目所在地的行业发展规划和产业政策要求。(2) 在满足产品技术要求的前提下,选择的工艺设备技术先进、安全可靠、经济合理。(3) 积极推广应用少、无氧化热处理工艺,如可控气氛热处理、真空热处理及感应热处理工艺。(4) 积极稳妥地应用新工艺、新设备、新材料、新结构及复合表面处理工艺。(5) 应用清洁或少污染热处理技术,减少和防止环境污染,改善操作环境。(7) 提高机械化、自动化程度,充分提高设备利用率,提高劳动生产率,减轻工人劳动强度。(8) 在满足正常使用和安全间距的前提下,设备布置尽量紧凑,以缩短物流距离,节约厂房用地。(9) 应用计算机控制技术,实现工艺参数、 工艺过程及产品的自动检测、控制与管理。
5.2 工艺设计的内容
(1) 分析产品零件的工作条件、失效形态和技术条件。(2) 制定热处理零件在工厂生产过程中的加工路线,确定热处理工序在其中的位置。
5.3 零件技术要求的分析
零件技术要求是产品零件设计者通过对产品零件的服役条件和失效分析而制定的。从原则上讲,热处理工作者只需以技术要求作为依据来选择和制定热处理工艺,但经常由于设计图样标明的技术要求过于笼统,使热处理工艺制定发生失误。例如,产品图样上标注硬度要求,但有不同的热处理方法可产生相同的硬度值和抗拉强度,而其冲击韧度却差别很大。有时不正确的热处理虽可产生要求的性能指标,但可能产生不适应使用条件要求的组织。因此,在工艺设计时,应根据产品零件的工作条件和主要的失效形态,优化热处理工艺,以满足零件实际使用要求。
5.4 零件加工路线和热处理工序的设置
零件加工路线是零件从毛坯生产、加工处理到装配成产品所经过的整个加工过程。零件的加工路线是工厂生产组织的基础。它涉及零件加工制造的总体方案、工序的组合和工序间的配合。常规零件加工路线中热处理工序的设置如下:(1) 铸铁、铸钢、非铁金属铸件,要求毛坯热处理。其工艺包括正火、均匀化退火、等温退火、球化退化、可锻化退火,再结晶退火、消除内应力退火及人工时效(稳定化处理)等,可于铸造后在铸造车间进行。(2)硬度要求在285HBW (30HRC) 以下的一般锻件,可在机械加工前热处理到要求的硬度。但是,当机加工量较大有可能因加工而去掉较多的热处理硬化层时,为保证足够的硬化层,应在粗加工后进行热处理。(3) 表面硬化和化学热处理工序,一般应在机加工后进行,热处理后尽可能不再加工,或仅进行精加工,以保留硬化层和渗层压应力状态。一些精度要求高,可使用特殊刀具加工的零件,也可在加工前热处理。(4) 局部化学热处理零件,当生产量大时,非处理的部分应用镀层或涂层保护;当批量小时,可采用机械保护或加工去除渗层等方法。(5) 零件冷拔、冷镦、冷挤前后应进行去应力退火、再结晶退火、正火等热处理工序。(6) 弹簧钢丝冷绕制后应进行回火处理。热绕制的弹簧应进行淬火和回火。(8) 模具和刀具在毛坯锻造后应进行球化退火处理。
5.5 热处理工艺方案的制订
通常应根据产品的技术要求,提出几种可靠的热处理工艺方案进行对比性论证,选择出最佳的工艺方案来。一般论证的主要内容如下:(1) 对产品零件技术要求的适应性、工艺的先进性和可靠性、热处理质量的稳定性。
5.6 热处理工序生产纲领的计算
热处理工序生产纲领(退火、正火、渗碳等)是根据车间生产任务和热处理工艺过程统计出来的。它是计算热处理设备数量的依据。零件热处理工序生产纲领的计算见表4。


6 热处理设备的选型与计算
设备选择的基本原则是质量安全可靠,能生产出优质的产品,高的生产效率,低的生产成本和良好的作业环境。
6.1 热处理设备选型的依据
(8) 企业及车间的自动化、机械化、现代物流和现代管理要求。
6.2 热处理设备选型的原则
1. 少品种大批量生产的热处理设备的选型对于少品种批量热处理件的生产,应根据工艺要求,优先考虑组建各类全自动热处理生产线,选用安全可靠、生产率高、运行成本低的连续式热处理设备。2. 批量生产的热处理设备的选型 对于批量热处理件的生产,原则上应以连续式热处理生产线为主;但由于热处理件的品种规格较多,工艺和生产量常需调整,因此所选设备应便于工艺和生产调整。3. 多品种单件生产的热处理设备的选型对于多品种单件热处理件的生产,宜采用周期式热处理设备,或以周期式热处理设备组建局部机械化、自动化联动线的方式。
6.3 热处理设备的选型
选择热处理炉型时,应根据热处理件特点、工艺要求和批量,合理选择炉型。以下是几种常用的炉型选择:(1) 汽车齿轮类渗碳零件,大批量生产时,一般选用推杆式连续渗碳淬火自动线;中批量生产时,选用密封箱式炉组成联动线;小批量生产时,应优先选用密封箱式炉完成渗碳淬火,尽量避免使用井式渗碳炉,以避免工件在空气介质中入油淬火带来的表面氧化脱碳。(2) 轴承类零件,根据零件大小,一般选用辊底式炉、铸链式炉、推杆式炉或网带式炉组。成自动生产线;而滚珠多选用鼓形炉组成的自动生产线。(3) 长轴件,大批量时,选用辊底式炉生产线(也可选用感应加热淬火回火自动生产线);小批量时,选用井式炉或台车炉。(5) 中小标准件,选用铸链炉、网带式炉、振底炉。(6) 工具、模具、刃具,优先选用真空炉,也可选用流态粒子炉、盐浴炉。(7) 钢带等退火件,推广应用保护气氛罩式炉、井式炉和箱式炉。热处理炉生产率是指某热处理炉在1h 内可完成某热处理工序零件的重量,即kg/h。它与炉型、功率、炉膛尺寸、工艺类型、零件装夹方式等因素有关。几种炉型单位炉底面积的平均生产率见表5。平均生产率是指热处理炉在一般正常生产条件下所达到的生产率。热处理炉产品样本所标出的生产率数值,通常是指该设备可能完成的最大生产率。车间设计时,应根据零件或代表产品实际排料计算设备的平均生产率。几种典型设备的平均生产率按如下方法计算:

(2)推杆式炉的平均生产率P:

(3)传传送带式炉的平均生产率P:

(1) 频率选择。感应加热所需电流频率,取决于产品零件对淬硬层深度的要求。表6为感应加热电流透入深度与淬硬层深度的合理频率范围。

P0-单位功率(kW/cm²) 。
S-加热表面积(c㎡) ;
η-设备效率,η=η1×η2 (η1为感应器效率,η2淬火变压器效率)
通常涉及所指单位功率为额定功率,表7 为单位功率的检验数值。常用感应淬火设备的效率见表8。


根据表7 所列数据,对某些功率的感应加热设备可同时加热的面积如表9和表10所示。

▼表10 高频电源科同时加热面积参考指标

(3) 设备生产率,感应加热设备生产率差异很大,根据生产统计资料,感应加热设备生产率参考指标如表11 所示。

过去采用的效率较低的中频发电机多被淘汰,代之以频率达 1kHz的晶体管电源;目前,又有IGBT (绝缘栅双极型晶体管)电源大量出现,已部分取代前者用于工业生产。最大的IGBT 电源已达600kW、100kHz的电源商品生产。

4. 辅助设备的选择
(1) 可控气氛发生装置。应根据热处理工艺及项目所在地供应条件选择。随着现代可控气氛检测和控制技术的发展,应尽量采用炉内直生式气氛。



实际为便于制造和操作方便,一般淬火水槽与淬火油槽尺寸相同。以上计算的容积还需考虑淬火液温度升高的体积膨胀及淬火工件的体积。
循环油量容积按下式计算:
集油槽的容积(m³) : V2= (V1 +全车间循环淬火油槽总容积)×1.2 (3) 清洗设备。清洗设备有连续式、室式、槽式等清洗机和清洗槽。多数清洗机是与加热淬火设备配套使用的,作前清洗或后清洗用。应根据多数热处理件的批量和加热淬火炉的操作方式选择。(4) 清理及强化设备。清理及强化设备主要用于清理零件热处理后表面的氧化皮或进行表面强化用。该设备(如喷丸机、酸洗槽、清理滚筒)多有粉尘、酸气、噪声等污染环境物,因此,多数独立设置。可按处理量计算所需的设备量。(5) 校直设备。热处理后的弯曲工件需要用手动或机械校直。小型零件用手动螺旋压床或齿条压床,中型、大型零件用液压机。一般零件所需校直机的参数见表13。

(6) 起重运输设备。起重运输设备应根据设备安装、修理、工艺所需起吊运输最大重量以及工艺平面布置确定,起重运输设备的适用范围及选择原则见表14。

考虑到空中布置管线便于工艺设备调整和降低厂房造价,热处理车间总的发展趋势是尽量取消行车。

6.4 设备需要量的计算
设备需要量可根据热处理工序生产纲领和设备生产能力计算出设备年负荷时数,再计算出设备需要量。
式中 Q-该设备年需完成的生产量(kg/年);
p-该设备的生产率(kg/h) .
式中 F--每台设备设计年时基数(h) 。计算的C值,一般不是整数,取整数为C´。
热处理车间设备的计算见表15。
▼表15 退出了车间设备计算表

合理的设备负荷率一般规定为,三班制为75%~80%, 二班制为80%~90%。由于我国热处理设备的可靠性普遍提高,为充分利用设备,设备负荷率可提高到80%以上。
7 车间位置与设备平面布置
7.1 总平面布置
热处理车间产生有害气体,如蒸汽、油烟、粉尘等,应位于机加工、装配等车间的下风向(按项目建设地主导风向)。一般车间考虑采光、自然通风要求的间距要满足消防、环保等现行规范的要求,同时应≥10m。近年随着钢结构厂房的推广应用,对少、无污染的热处理车间也可与机加工、装配车间组建成联合厂房。热处理车间应与锻造车间、铁路等保持一定的防振间距,或采取相应的隔振措施。防振间距见表16。


(1) 考虑日晒的影响,热处理车间尽可能采用南北向。(3) 应在锅炉房,铸、锻、电镀车间及大量产生灰尘和废气场所的上风向。(5) 应尽量靠近联系密切的车间布置,以缩短零件运输距离。(6) 应根据企业规模和发展需要,考虑适当的发展余地。(2) 热处理车间至少有一面靠外墙,车间纵向、天窗与主导风向垂直,以利通风。(4) 外部有布置室外设施(如循环水池、油池等)的场地和空间。
7.2 车间平面布置
(1) 车间内的设备布置、工艺流程、车间进出口及通道位置等,应根据企业运输路线及与邻近车间的关系来设计。(2) 大型连续式设备及机组的布置,一般应尽量布置在同一跨度内,有利于使用起重运输设备。(3) 如车间只有一面靠外墙时,大型设备应尽量靠内墙布置,以利采光和通风。(4) 设备布置应符合工艺流程的需要,零件的流向应尽可能由入料端流向出料端,避免交叉和往返运输。(5) 在工艺流程基本顺畅的情况下,可按设备类型分区布置。(6) 设备应尽量排列整齐,箱式炉以炉口取齐,井式炉以中心线取齐。(7) 应考虑半成品、成品存放地和渗碳件、回火件存放地,以及夹具、吊筐等堆放面积。(8) 车间内隔间应尽量集中布置,喷砂应尽量靠外墙。(10) 需要起重运输工具的设备,应布置于起重机的有效范围内。(11) 需局部通风的设备应靠外或靠近柱子布置,以利风管的引出。(12) 车间应留出必要的通道,通道的宽度一般为2~3m,一般箱式炉:1~1.2m。后端有烧嘴的燃气炉和燃油炉:1.2~1.5m。
可控气氛炉应留出辐射管取出的距离。
(2) 炉子之间的距离(一般是炉子外壳间的距离,燃气炉和燃油炉应为两炉外侧管道间的距离)如下:(4) 连续式炉的炉前、炉后通道及零件堆地的距离如下:锻件热处理连续炉:炉前6~8m, 炉后8~12m。(5) 炉子与淬火槽的距离如下:一般炉子:1.5~2.0m。

车间平面布置图中所用的图样、图例可参考表17所示样式。
▼表17 热处理车间布置图常用图例



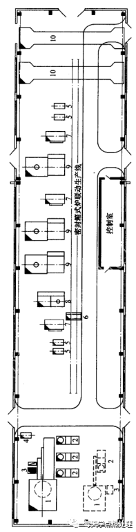
(2) 拖拉机零件热处理车间工艺平面布置如图2所示。(3) 重型柴油机厂部件热处理车间工艺平面布置如图3所示。(4) 重型柴油机厂大件热处理车间工艺平面布置如图4所示。(5) 工程机械可控气氛热处理车间工艺平面布置如图5所示。

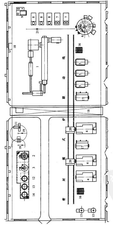
▲图1 齿轮热处理车间工艺平面布置图
1一连续式气体渗碳淬火回火自动线 2一井式回火电阻炉 3-井式渗碳炉 4一密封箱式炉 5-一箱式同火炉 6-转底式光亮淬火炉 7一芯轴淬火装置 8一锌火压床 9-循环油植 10一检验平台 11一校直机 12一淬火油槽 13一碱洗槽 14一清洗槽 15一吸热式气氛发生器16一备料台 17一清洗机 18一桥式起重机 19一平衡吊 20一推拉料小车 21-手动单轨吊车
1一箱式电阻炉 2一停火机床 3一井式回火电阻炉 4一中额摔火回火自动线 5一台车式电阻炉 6-实验电阻炉 7一描丸机 8-清淀机 9一校直机10一摩擦压力机 11一水檀 12-痒火池糖 13一循环水槽 14一中顿感应加热装置15-体火水槽 16一冷却水槽 17一工具模床 18一砂轮机19-电焊机 20-油槽 21一桥式起重机 22一旅拉料小车 23一播臂吊架 24一平衡吊 25一平板车 26-硬度计1-上下料台 2一多用炉 3一箱式间火炉 4一清洗机 5一运料小车 6一淬火机床 7一高频加热装置 8一低温冰箱 9一真空粹火炉 10一干燥箱11一辉光离子滤氨炉 12一机床 13一桥式起重机 14一校直机 15一井式回火电炉 16一冷却水槽 17一抛丸机 18一悬骨起重机19-磁粉探伤机 20一盐浴炉 21-确盐炉 22一淋火精 23一箱式电照炉 24一台车式电肌炉


▲图4 重型柴油机厂大件热处理车间工艺平面布置
1一井式萍火炉 2一井式粹火椿 3一井式回火炉 4一井式去应力炉 5一井式渗氮炉 6一翻转架 7一桥式起重机8一校直机 9-空压机 10一制氨机 11-砂轮机 12-津火楠
1一转底式加热炉 2一淬火压床 3一淬火油槽 4一液压机 5一上下料台 6一运料小车 7-箱式回火炉 8一清洗机 9一多用炉 10一行车
▲图6 曲轴热处理车间工艺平面布置
1-井式气体渗碳炉 2-台车式电阻炉 3-CO2气瓶 4-检验平台 5-行车
1. 车间面积
(1) 生产面积指各主要工序、辅助工序及与生产、辅助工序有关的操作所占的面积。如加热炉、加热装置、淬火槽等本身所占用的面积,操作所需的面积及工人在操作时所需的通道面积均属于生产面积。校直、检验所占用面积也算在生产面积内。生产面积约占车间总面积的70%~80%。(2) 辅助面积指服务于生产而不参与主要工作和辅助工作的机构。包括车间配电室、变频间、电容器间、检验室、车间试验室、保护气氛制备间、机修间、仪表间、通风机室、油循环冷却室、辅料库、主要通道、地下室及车间办公室、生活间等所占用的面积。辅助面积约占车间总面积的20%~30%。(1) 各类热处理车间面积指标。各类热处理车间每平方米总面积生产指标,如表18所示。
▼表18 热处理车间每平方米总面积生产指标

(2) 热处理设备面积指标。各类热处理设备所占车间面积指标如表19所示。
▼表14-19 各类热处理设备所占车间面积指标


生产任务依下式计算:


8 热处理车间建筑物与构筑物
8.1 对建筑物的要求
(1) 防火要求。根据 GB 50016-2006《建筑设计防火规范》的规定,热处理生产在火灾危险分类中属“丁”类,厂房的耐火等级通常为二级。要求建筑物的墙、隔墙、地面、顶棚等必须耐火,通常为钢筋混凝土或钢结构。(2) 防爆要求。对于用液体、气体作为燃料或可控气氛原料的热处理车间,需采取必要的防爆措施和泄压面积,且泄压面积的设置应避开人员集中的场所和主要通道。(3) 通风要求。热处理车间存在油烟、蒸汽、热气、有害健康的气体及粉尘等,因此要求采光充足,自然通风良好。厂房最好是独立建筑,至少有一长边靠外墙,每跨厂房最好有天窗(气楼)。
8.2 厂房建筑参数
它是一种选定作为统一与协调各种建筑尺寸的基本标准尺度单位。我国规定
建筑的基本模数为100mm, 以M0表示。
(1) 厂房平面柱网和柱距。厂房平面柱网是厂房纵横坐标的定位轴线。厂房柱距一般采用6m或6m的倍数。钢结构厂房可适当加大,一般为6~9m, 在起重机起重量不大时,钢结构厂房的柱距在7.5m较经济。(2) 跨度。厂房跨度≤18m时,应采用3m (30M0) 的倍数;厂房跨度≥18m时,应采用6m (60M0) 的倍数。(3) 热处理车间柱距与跨度选择。厂房的跨度和柱距取决于生产规模、设备类型和平面布置。当采用钢结构厂房时,其跨度和柱距可根据工艺需要,由结构专业人员做出技术经济比较后确定。厂房高度是指屋架下弦(或屋盖结构件的最低点)以及起重机轨顶距车间
室内地面的高度,分别以屋架下弦底面标高和轨顶标高表示(室内地面标高为±0. 000) 。自地面至柱顶和自地面至支承起重机梁的牛腿面的高度均应为300mm的倍数,自地面至起重机轨顶高应为600mm的倍数。工艺设计通常只提出起重机轨顶的高度要求,此高度可用下式表示:
式中H1 -起重机轨顶面的高度(mm) ;
h1-车间内设备,隔墙或检修工件的高度(以多数设备高度为基准)(mm) ;
h2-一运行时吊运件距生产设备的安全操 作距离,一般≥500mm;
h3 -最大加工件或设备检修时最大件高度(mm) ;
h4-吊钩与吊运件之间的绳索距离(mm) ;
h5 -吊钩与起重机轨顶面的最小距离(mm) 。
式中 H-屋架下弦的高度(mm) ;
H1-起重机轨顶面的高度(mm) ;
h6-轨面至起重机顶面尺寸(mm) , 由起重机规格表中查得;
h7 -屋架下弦至起重机顶面间安全间隙(mm) ,h7≥220mm。
热处理车间厂房的高度取决于产品的工艺需要和设备类型。井式炉应尽可能置于地坑内,以降低厂房高度。在通常情况下,厂房高度的确定,可参考表20。

门洞设计要满足生产、消防安全、人流疏散及建筑模数等要求。门按制作材料分类,有木门、钢门;按开启形式分类,有平开门、推拉门、折叠门、升降门、卷帘门、翻转门等。对要求高的企业,还可采用感应遥控门。门洞的净宽应大于运输工具、产品、设备等宽度600mm 以上,洞口净高应大于运输工具、产品、设备等高度300mm以上。对一些特大型设备的出入,可以预留门洞,待设备进人后再封墙。各种大门一律向外开。厂房较长时,需在车间两端或中部开门。常用车辆与门洞尺寸的关系,如表21 所示。

窗的尺寸一般为300mm 的倍数,也可设计成带形窗,具体由建筑专业人员确
定。
热处理车间内除一般生产区外,有时还设有高频间、中频间、喷砂间、喷丸间、检验室、仪表间、办公及辅料库等。为隔断粉尘、有害气体的侵人和降低噪声危害,必须隔断及封顶。隔断面积的大小按工艺需要决定,最好以柱距为基准。一般采用砖墙隔断。
封顶高度主要视设备及起重设备的高度决定。喷砂间等通常采用4.5m, 检验室、仪表间、办公室通常采用3.6m。
(1) 位置:高频间及中频间应单独设置,其位置应放在车间的上风向和非发展方向的一端,远离油烟、灰尘和振动较大的设备。(3) 封顶及隔断:高频间的封顶高度不低于4.5m, 中频发电机室的封顶高度一般为5.5~6.0m, 具体视设备大小和单轨轨顶高确定。(4) 门窗:应设置足够的窗户,以利采光及自然通风。高频间及中频发电机室门的尺寸一般为:2.1mx2.7m。(5) 高频间屏蔽:高频间一般采用Φ1mm钢丝制成5mmx5mm 的钢丝网,或用0.5~0.6mm厚的钢板进行屏蔽;门、窗用双层钢丝网屏蔽;金属屏蔽层必须接地,以保安全。凡引入屏蔽间的管道,其四周应与屏蔽层焊牢,并采取措施切断屏蔽层与管道系统的导电连接。电源必须经过滤波器,然后引人屏蔽间,以抑制通过导线传播干扰。热处理车间地面载荷取决于生产设备,可参照表22设计。

热处理厂房的地面材料要求耐热、耐蚀、耐冲击,应根据车间生产工艺选择,见表23。
▼表23 热处理厂房的地面材料

某些热处理设备需安装在地坑或地下室内,较深的地坑应不影响厂房柱子
基础。若地下构筑物深度超过地下水位时,要作防水处理。
9 车间公用动力和辅助材
料消耗量热处理车间需消耗各种动力和辅助材料,包括电力、燃料、压缩空气、蒸汽、水、油类、盐类、化学热处理渗剂及保护加热气体等。这些物料的供应、储存、输送等设施,多数由工厂动力部门统一设置和管理,有些需在车间内设中间储存地(或库)。车间设计时,必须计算其消耗量,提供给有关部门进行设计。根据工厂公用专业设计的需要,车间动力及辅助材料消耗量计算,需提供如下计算项目:(1) 各类设备所需动力的小时最大消耗量,此数据主要作计算该设备支管路、线路之用。(2) 各类设备所需动力的小时平均消耗量,此数据主要作计算该设备全年动力消耗。(4) 汇总的各类动力的车间小时平均消耗量,此数据作计算车间各类动力年消耗量。(6) 汇总的各类动力的车间年消耗量,作为车间各类动力消耗数据,经全厂汇总后作为计算全厂能量消耗的依据。

9.1 电气
热处理车间电气资料包括设备明细表和工艺平面布置图,以及车间工艺设备年耗电量。固定的用电设备,应在平面布置图上标出电源进线的位置;当接线点
在地面1m 以上或地面以下时,应注明标高。
移动式用电设备,应注明其工作区域及供电方式(如滑触线或电缆)。电动葫芦、梁式和门式起机及电动平板车,应在工艺平面布置图上,标出滑触线起止位置和电缆供电点位置。一般用电设备或只带一般降压用变压器的设备,如以电动机为动力的设备及电阻炉等,安装以kW为单位;带专用变压器的设备,如高频电源、磁粉探伤机等,安装容量以kVA为单位。当设备需要的电源不是一般常用的交流、380V、50Hz时,应在设备明细表的技术规格栏中注明。存放易燃、可燃或易爆物质的场所及存在易燃易爆的气体或大量粉尘的场地,应注明储存物品的名称、数量或气体(粉尘)的成分和含量。当工作场地存在腐蚀性气体、蒸汽或特别潮湿时,以及存在高温、强烈振动或辐射时,应予注明。热处理车间工艺设计人员仅需提出车间的照明要求和照明区域等资料,由电气专业设计人员依据车间特性和照明面积进行计算和设计,统筹考虑工作地的照明、局部照明和事故照明等。热处理车间用电设备电能耗量的计算方法有:按设备负荷时数计算和按产量计算。由于按设备负荷时数法计算耗电量困难较多,且误差较大,一般按单位产品产量的耗电指标计算。粗略计算时,可依单位质量工件耗电量指标和车间生产量计算。表24为各热处理工序加热1kg金属所需电能、煤气、重油概略指标。▼表24 各种热处理工序加热1kg金属所需能源消耗指标

9.2 燃料消耗量计算
热处理车间燃料消耗量,粗略计算时,可依单位重量工件消耗燃料指标和燃料炉生产量计算(参见6)。详细计算时,应依据各燃料炉的燃料消耗量进行计算和统计。
19.3 压缩空气消耗量计算
热处理车间压缩空气消耗量是以温度为20℃, 绝对压力为101.3kPa时的自由空气占有的体积为标准计算的。(1) 设备小时最大耗气量。连续稳定用气设备小时最大耗气量系指设备开动时的单位时间耗气量,相当于设备连续开动1h的耗气量。一般设备每次用气时间是较短的,可将设备开动时的耗气量除以开动时间作为设备小时最大耗气量(m³/h) , 即
式中 q-设备开动时间内的耗气量(m³) ;
t-设备开动时间(h) 。
(2) 设备小时平均耗气量。连续稳定用气设备小时平均耗气量系指设备以小时平均生产率运行时每小时的耗气量,其数值等于班耗气量的小时平均值。设备小时平均耗气量qp (m³/h)可按下式计算:

(1) 设备小时最大耗气量。不均衡用气设备小时最大耗气量,等于设备在单位时间耗气量最大的操作过程的耗气量除以该过程的时间。(2) 设备小时平均耗气量。不均衡用气设备的小时平均耗气量q等于设备以小时平均生产率工作时的小时耗气量,即:
式中 q0- 每一工作循环的耗气量(m³) ;
n-在设备平均生产率时的每小时工作循环次数。
气缸工作用压缩空气消耗量,可以依据气缸的容积、单位时间内起动次数和所用的压力进行计算。炉门升降气缸压缩空气消耗量可按表 26 提供的数据计算,其
他气缸推动机械也可参考此表数据估算。
▼表26 炉门升降气缸压缩空气消耗量
用于喷丸、吹干等用途的压缩空气消耗量可参考表 27 进行计算。各设备压缩空气年消耗量=小时平均消耗量×设备负荷率x设备设计年时基数。车间压缩空气年消耗量=各设备年消耗量之和×不正常损耗系数(一般取1.3~1.4) 。
9.4 生产用水量计算
热处理车间除高、中频设备冷却用水外,其余设备对水质无特殊要求,一般生活用水则可满足要求。热处理设备用水要求见表28。
▼表28 热处理设备的用水需求

根据目前各地自来水水质情况,除个别地区外,均可满足感应加热设备的用水要求,如达不到标准要求的,可采用蒸馏水,或采用离子交换树脂软化水。热处理工艺操作的耗水量的计算,通常按工序每吨工件水消耗量指标作概略计算,如表29所示。车间用水应尽可能循环使用。
▼表29 按工序每吨工件水消耗量指标

3. 感应加热设备耗水量
(1) 感应加热设备冷却用水量。按设备产品样本的规定,其耗水量如表30所示。
▼表30 感应加热设备冷却用水
(2) 感应淬火用水量。感应淬火用水的常用压力为200~300kPa, 单位淬火面积单位时间所需淬火冷却水量指标如表 31所示。
▼表14-31 感应淬火冷却水需要量

9.5 可控气氛原料消耗量计算

9.6 蒸汽消耗量计算
热处理车间使用蒸汽为饱和蒸汽,常用压力为200~400kPa.蒸汽的比热容,一般取较低数值,即2100kJ/kg。表33为各类液槽蒸汽消耗量的概略计算指标。

蒸汽小时平均消耗量可按最大消耗量的30%~50%计算。车间蒸汽最大小时消耗量为各设备小时最大消耗量之和乘以同时使用系数。
9.7 辅助材料消耗量计算
热处理车间辅助材料很多,主要是各种工艺材料,如化学热处理渗剂、加热介质等。它们的消耗量常按生产经验数作概略的估算。当消耗量较大时由公用设计部门设计相应的输送管道和仓库等;当消耗量较少时,则在车间内设置堆放地。

10 热处理车间的职业安全卫生与环境保护
10.1 职业安全卫生
热处理车间是一个潜在触电、爆炸、灼伤、火灾和毒害危险的工作场所。因此,在车间设计过程中,应严格按照职业安全卫生和环境影响报告书的要求进行设计和配置。(1) 车间设计中有关劳动安全所采取的主要防范措施和设施(如防火、防爆、防震、防尘、防毒、防腐蚀、设备的安全间距及防机械伤害、降暑降温、防噪声、防振动、防辐射、防电气伤害等)。(2) 车间设计中有关职业卫生所采取的主要措施和配置的设施,包括工作场所办公室、生产卫生室(浴室、存放室、盥洗室、洗衣房等)、生活室(休息室、食堂、厕所)、妇女卫生室等,具体按 GBZ1-2002《工业企业设计卫生标准》中之第6条执行。(3) 汇总由工艺本身自行处理所需的主要设备及投资(同一治理项目在环保投资中已计列的在职业安全卫生投资中不再重复计算)。
10.2 环境保护
热处理车间存在着对人身和环境有害的物质,主要有废气(如二氧化硫、硫化氢、氧化氮、一氧化碳)、废水(含碱、油、盐废水)、粉尘、放射性物质以及噪声等环境污染源。车间。设计时,必须根据建设项目环境影响报告书的要求,采取可靠的治理措施。(1) 首先说明工艺及所选用工艺设备本身所具有的环保设施,如废水废气治理、吸尘、隔噪等,说明所选属绿色环保型产品的工艺设备,对环境少、无污染。
(2) 说明对车间环境造成污染的污染源、污染物名称、浓度及排放量、排放方式(连续排放、间歇排放或定期排放)。
(3) 简述对产生的废水、废气、粉尘、噪声、振动、废弃物的治理措施,达到效果及综合利用情况,具体治理措施由环境保护专篇论述。
(4) 汇总由工艺本身自行治理部分所需的主要设备及环境保护投资,必要时亦可列表说明。

11 节能与合理用能
11.1节能与合理用能的考虑
在进行热处理车间设计时,要充分虑采用合理用能的新技术、新工艺、新材料、新设备,在能源选用、余热回收及综合利用等方面所采取的具体措施,以及在能源管理和监测等方面所采取的措施及效果。
11.2能耗
热处理车间所需各种能源的消耗量列入能耗量表,见表 34。

12 热处理车间人员定额
热处理车间工作人员包括生产工人、辅助工人、工程技术人员、管理人员和服务人员。
12.1人员分类
(1) 生产工人是指直接从事热处理工艺及设备操作的工人。(2) 辅助工人是指生产工人以外,直接为热处理生产服务的工人,如热处理件准备工、电工、钳工、仪表工、起重运输工等。(5) 服务人员是指服务于生产和职工生活福利的人员,如清洁工等。
12.2 生产工人数量
每类设备所需生产工人数量计算如下:基本生产工人数=设备年负荷时数x每台设备所需工人数/工人设计年时基数车间基本生产工人计算指标见表35。
▼表35车间基本生产工人计算指标
12.3 车间其他人员计算
车间其他人员的计算通常以基本生产工人为基数,按指标作概略计
算。表36为车间其他人员计算的指标。
▼表36 车间其他人员的计算指标


13 热处理车间工艺投资及主要数据和技术经济指标
13.1 工艺投资概(估)算
13.2 主要数据及技术经济指标

14 需要说明的主要问题及建议
最后需说明,在热处理车间设计中,由于客观条件种种限制(如资金来源、车间面积、产品条件等)而尚未解决的问题,并提出解决遗留问题的方法及建议。
(本平台"常州精密钢管博客网"的部分图文来自网络转载,转载目的在于传递更多技术信息。我们尊重原创,版权归原作者所有,若未能找到作者和出处望请谅解,敬请联系主编微信号:steel_tube,进行删除或付稿费,多谢!)