1 合金相分析方法
相分析是指用各种方法和手段来分析相的成分、形貌,包括形状、大小、分布和数量及结构的工作。表1列出了常用的相分析方法。这些方法各有其特长和局限性,视不同场合而选择应用。有时数种方法互相配合、互相补充才能得到全面、确切而可靠的结论,这里仅介绍常用的分析方法。

1.1 X射线衍射分析
X射线在晶体中产生衍射现象是相干散射的一种特殊表现。当一束X射线照射到晶体上时,电子将产生相干散射和非相干散射,成为晶体的散射波源。所有电子的散射波又可近似地看成由原子中心发出,故原子是散射波的中心。因晶体中原子的排列具有周期性,周期排列的散射波中心发生的相干散射波将互相干涉,结果某些方向加强,出现衍射线;另一些方向抵消,没有衍射产生。产生衍射线的方向可用布拉格方程描述:

待测试样可以是块状或粉末样品,它们均由大量具有不同取向的小晶体构成。当用单色的X射线束照射试样时,满足布拉格条件的晶面就产生自己的衍射线。由于多晶体在空间各个方向的等几率分布,围绕人射线轴的各个方向均有等同晶面,实际得到的衍射结果是一系列圆锥面,其轴线与人射线重合,顶角对应不同的40值,如图1 所示。如采用照相法,则在底片上可得到一系列的衍射弧线对,圆锥面与底片的交线如图1 a)和图1 b) 所示。用已知半径R的相机摄得的衍射花样经过换算,可求出每条衍射弧线对相应的θ值。根据入射线波长λ,利用布拉格公式,可求出该衍射弧线对对应的晶面间距d.目前更广泛应用的是X射线衍射仪法。衍射仪是用X射线计数管记录衍射结果,在图9-1中,使计数管沿底片周长进行扫描,就得到X射线衍射谱,如图1 c)所示。衍射仪可精确测定衍射峰的位置2θ值,并利用布拉格公式求出晶面间距d值。X射线衍射结果不管用什么方法记录,可统称为衍射花样。
1.1.1 X射线衍射花样
X射线衍射花样主要包括两个方面的重要信息:衍射方向和衍射强度的大小及其分布(峰形状)。前者与晶体中晶胞尺寸和形状,即点阵参数等几何因素有关;后者主要决定于组成晶胞的结构基元中各原子的性质、数目和位置等。每个相都有自己的衍射花样,这就是X射线衍射法进行相分析的基础。X射线衍射分析可分为定性相分析和定量相分析。定性相分析就是将未知物的衍射花样与已知物相晶面间距d、衍射强度(1/1, ) 值相对照。衍射线条的数目、位置(d值)和强度是每种物相自己固有的特性,因此可以像根据指纹来鉴定人一样,用衍射花样来鉴定物相。即使多相物质混合在一起,衍射花样也是各个单相衍射花样的简单叠加。为此,实验室必须储存大量的标准单相物质的卡片。哈纳瓦尔特(Hanawait. J. D)等人首先进行了这一工作,后来美国材料试验学会在1942年出版了第一组共1300 张衍射数据卡片(ASTM卡片)。1969年建立粉末衍射标准联合会(简称JCPDS) 国际机构负责编辑出版粉末衍射卡片组,至今已出版了42组约四万余张。图2所示为Fe3C 的衍射数据卡片。为了检索迅速、方便,又制定了多种索引。索引是以每种相的三条最强衍射线条的晶面间距为依据,检索到卡片后,和卡片逐条对照,如完全符合即确定某组成相的存在。表2是X射线衍射定性相分析的特点及注意事项。

▲图2 Fe3C的衍射数据卡片
▼表2 X射线衍射定性相分析的特点及主要事项

1.1.2 X射线强度与相含量关系
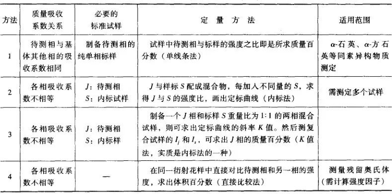
X射线物相定量分析的根据是样品中每个相衍射线条的强度随该相含量增加而提高。但由于X射线受试样吸收影响,试样中某相的含量与其衍射强度的关系,通常并不正好成正比。因此,在X射线衍射定量相分析工作中如何修正试样的吸收是很重要的,表3列出了X射线衍射定量相分析常用方法。

相分析过程要消耗大量的人力和时间,迫切需要使分析过程自动化。自20世纪60年代起,计算机用于物相鉴定方面获得很大发展。它包括建立数据库(把卡片中各物相花样数据输人)和检索匹配。将未知样品的衍射数据和一些已知条件输入计算机后,它能按给定程序和数据库中已知花样对照,根据预定的判据,筛选出最可能的候选卡片。目前国外已生产成套的计算机控制的自动分析设备,从调整光路、更换样品、衍射记录、数据处理直至分析检索,全部过程均实现了自动化。

1.2 电子衍射法
电子衍射法和X射线衍射的基本原理完全一样。因此,许多问题可用与X射线相类似的方法进行处理。但是,电子衍射与X射线衍射相比较时,具有三个突出特点。(1) 由于电子的波长比X射线短得多,根据布拉格方程2dsinθ=λ,电子衍射角2θ也要小得多、约为10E-2 rad。而X射线产生衍射时,其衍射角最大可接近π/2。因为电子波的波长短,采用爱瓦尔德解时,反射球的半径很大,在衍射角θ较小的范围内,反射球的球面可以近似地看成是一个平面,使得单晶的电子衍射花样近似为倒易点阵的一个二维截面在底片上的放大投影,因而晶体几何关系的研究远较X射线衍射简单。(2) 在进行电子衍射操作时采用薄晶样品,薄晶样品的倒易点会沿着样品的厚度方向延伸成杆状,因此,增加了倒易点和爱瓦尔德球相交截的机会,结果使略为偏离布拉格条件的电子束也能发生衍射。(3) 由于物质对电子的散射能力比X射线的散射几乎强一万倍,所以电子衍射束的强度要高得多,照相仅需要数秒钟。此外,电子衍射能够在同一试样上与物相的形貌观察结合起来,在观察相组织的同时,直接对各相进行晶体结构的分析。但电子衍射也有不足之处:电子衍射束强度有时几乎与透射束相当,二者交互作用时,使衍射强度分析变得复杂,精度也远比X射线低,不能像X射线那样从测量衍射强度广泛地测定结构;电子散射强度高导致的电子穿透能力有限,要求试样薄,这就使试样制备工作较X射线复杂,有时甚至因无法制样而不能进行电镜分析工作。
1.2.1 倒易点阵与爱瓦尔德图解
倒易点阵是一种以长度倒数为量纲的点阵,这种点阵所在的空间称为倒易空间。倒易点阵的基本定义为:倒易点阵中的倒易矢量Ghkl 其方向为晶体真实点阵中相应晶面的法线方向,倒易矢量 Ghkl 的大小与真实点阵中相应晶面间距成反比。由以上基本定义可知:倒易点阵中的倒易矢量可用来表示真实点阵中的一组晶面(hkl) , 因为其方向就是晶面的方向,其大小就表示晶面间距的大小。倒易点阵的引入使衍射花样分析简单化,最直观的就是爱瓦尔德图解。爱瓦尔德图解实际上是布拉格方程的几何表示形式。以1/λ为半径作一圆球(λ为电子波波长), 把待测晶体置于圆球中心,如图3所示。此时,若有倒易阵点G (晶面指数为hkl) 正好落在爱瓦尔德球的球面上,则相应的晶面组(hkl) 与入射束的位向必满足布拉格条件,而衍射束的方向就是OG, 或者写成衍射波的波矢量
k', 其长度也等于爱瓦尔德球的半径1/λ。

▲图3 爱瓦尔德图解
1.2.2 电子衍射的基本公式
图4所示为普通电子衍射装置示意图。当入射电子束波长入和晶面间距为d的(hkl) 晶面满足布拉格公式时,在与人射方向成2θ角的方向上得到该晶面族的衍射束。透射束与衍射束在离样品的距离为L的照相底版分别相交于0'和P'。0'为衍射花样的中心斑点,P'是(hkl)的衍射斑点。根据布拉格公式和图4中的几何
关系可得:
因为倒易矢量g=1/d, 上式可进一步写成:
这就是说,衍射斑点的 R矢量是产生这一斑点的晶面族倒易矢量g按比例的放大。所以,相机常数K有时也被称为电子衍射的“放大率”, 它是电子衍射装置的重要参数。上述关系是分析电子衍射花样的基础。如果已知K值,就可由花样上斑点的距离R计算产生该衍射斑点的晶面族的d值。

▲图4 普通电子衍射装置示意围
透射电镜选区电子衍射的衍射花样经中间镜和投影镜两次放大,有效相机长度L' 和有效相机常数K'要计人中间镜和投影镜的放大倍数。相机常数可用标样物质进行测定。
1.2.3 电子衍射花样及其标定
多晶电子衍射花样是由一系列不同半径的同心圆环组成,见图5, 这与 X 射线粉末法所得花样的几何特征非常相似。衍射环的连续性与强度取决于选区光栏内参与衍射的晶粒数目。随着晶粒尺寸的增大,对衍射有贡献的晶粒数目减少,衍射环就会出现不连续的情况。若有织构出现,则会出现部分弧段消失,部分弧段强度增强的情况。多晶体电子衍射花样的标定比较简单。其标定方法是:摄照花样,测量环半径R ; 根据衍射基本公式Rd=K, 计算相应的d值;查JCPDS卡片确定物相。衍射环的相对强度可作为参考数据加以判断。此外,分析时要考虑相关的已知信息,如材料的成分、工艺、历史等。在未知相机常数时,不能计算出d值,但可标出圆环半径平方R²比值序列,再考虑消光条件进行结构分析(表4) 。多晶衍射花样也常用来标定相机常数。
▼表4 不同晶体结构衍射环半径平方比值序列

单晶衍射花样可看成是落在爱瓦尔德球面上所有倒易阵点所构成图形的投影放大像。由于电子波长短一般在0.001~0.005nm 之间,爱瓦尔息反射球半径相当大,局部甚至可以当作平面,同时透射电镜用的是薄膜试样,根据形状效应它倒易点阵是拉长的倒易杆。所以在入射电子束平行于样品晶体的[uυw] 方向时,则得到的电子衍射花样就是倒易截面[uυw] '上阵点排列图象的放大像(图3) 。电镜中的样品台可以倾斗,从一个晶带轴[wυw] 转到平行于另一晶带轴[u'υ'w'] , 得到[u'υ'w'] "倒易截面上阵点的图形。在转动过程中,会得到两个晶带轴的衍射花样同时出现的情况。单晶电子衍射花样的标定,就是确定花样中点的指数及晶带轴[uυw] , 并确定样品的点阵类型和物相。其标定方法见表5。

由于晶体的高对称性,在同一晶面族中确定(h,k, 1) 时有任意性,从而出现单晶衍射花样标定的不唯一性,这对物相分析不会造成谬误。如果涉及晶体的取向关系,或者界面、位错等缺陷的晶体学性质测量时,则应通过倾斜样品等方法,系统地分析衍射花样,以消除不唯一性。电子衍射图的标定是量大而又烦琐的工作,因此近年来大都用计算机处理。将电子衍射图中两个矢量长度和其夹角测量值输入计算机内,并输入假定物相的某些晶体学参数,即可进行计算和自洽,自行输出计算结果。现在已有专门的计算机软件处理衍射花样,完成单晶衍射花样(包括高阶劳厄斑)的标定、多晶衍射环的标定、孪晶关系的判定和栾晶合成衍射图的标定等。
1.2.4 样品制备及其他注意问题
电子的散射能力强,穿透试样的本领差,这就要求试样制备很薄。在200kV 加速电压下,钢试样要求在100nm 以下,分析结果也相当程度依赖于试样制备的质量。因此,对电镜分析用样品的制备质量要求很高,难度也大。电镜分析样品常用的制备方法见表6。

电子衍射物相分析的优点是灵敏度高,小到几个纳米的微晶也能给出清晰的电子衍射图,待定物相含量低的早期沉淀也可分析。并且可结合形貌观察进行分析,得到有关物相的大小、形态、分布等重要资料。电子衍射物相分析的局限性是不如X射线衍射法可靠性高。这是因为电子显微镜的试验参数多,变化大,相机常数常常变化,即使在良好的校正条件下,通常测出的d值也只能达到1%~2%的精度,远低于X射线衍射的精度。其次是衍射得到的d值是不完整的,强度差别也很大,不能根据“三强线”索引原则查阅JCPDS卡片。因此,电子衍射物相分析时,应尽可能多得到待测相的电子衍射花样,并尽可能地与X射线物相分析等方法结合进行。

1.3 中子衍射法
中子是一种不带电荷的微观粒子,它的自旋量子数为1/2, 磁矩为1.042×10E-3uB (uB为玻尔磁子)。和其他微观粒子一样,中子也具有波粒二象性。在普通的反应堆中的平衡温度(通常在0~100°C) 的范围内,相应产生的中子束的波长约为0.15nm, 这是晶体中原子间距的数量级。因此,与X射线一样,中子也能与晶体发生衍射现象。图6所示为中子衍射仪示意图,其光路布置类似于X射线衍射仪,这称为德拜-谢氏几何。反应堆产生的中子流经锗单晶体后形成单一波长的中子束,经过样品衍射后,用三氟化硼(BF, ) 计数器记录。中子束没有X射线的标识谱,能量呈连续分布,因此经单色器后仅有初级束中1×10E-3的中子通过,这就要求增大束流直径(≈10cm) , 样品尺寸也可以做成很大(≈10cm) , 典型的样品尺寸为Φ1.5cm×5cm.可采用块状试样或粉末试样,粉末试样通常装在铝壳内。

▲图6 中子衍射示意图

中子衍射几何与X射线衍射一样都可用布拉格方程描述,但中子衍射有其独特的优势,已日益成为材料结构分析的有力工具。其与X射线相比有以下特点:(1) X射线在晶体中是被核外电子散射,不同原子间的散射因数相差很大,如氢和铀相差100; 而中子只受到原子核的作用产生散射,不同原子间的散射因数相差不大(=4) .因此中子衍射能分析含有轻、重原子(如氢化物、碳化物)的物质。X射线与中子的特性比较见表7。

对于原子序数相邻的原子构成的物质(如Fe和Co) , 利用中子衍射也比较容易研究它的结构。特别重要的是同位素散射因数的差别,使得中子衍射可以分析每个元素的同位素在不同晶体中的散射因数的分量。(2) X射线原子散射因数随衍射角而变化,而中子则几乎不变。(3) 中子不带电,穿透力强,质量吸收系数小(表7) , 所以中子衍射分析的不是表面信息,而是样品内部的信息。这一特点使高低温附件、高压附件等实验装置易于实施。(4) 中子的能量呈连续谱分布,没有X射线中kα1、kα2产生的复杂干扰花样。(5) 中子有磁矩,与晶体中磁场相互作用,可给出晶体原子中磁矩的排列信息。事实上,到目前为止,所有材料的磁结构都是中子衍射确定的。
1.4 低能电子衍射
低能电子衍射(LEED) 用于研究晶体清洁表面结构和表面吸附层结构。低能电子衍射使用能量为30~1000eV的电子束,弹性散射的平均电子自由程仅0.4~2nm,是几个原子层的厚度。因此,与其他表面技术相比,真实反映了晶体表面结构。晶体表面结构可看作为一个二维点阵,最小的单元记为元胞,元胞的周期性重复构成整个点阵。二维点阵共有五种布拉菲晶格结构,如图7所示。二维点阵用米勒指数(hk) 来标注原子列(图8) , 原子间距为:
(4)

▲图7 五种布拉菲晶格结构
晶体表面结构不同于晶体体积内部的周期性结构。这是因为当一个清洁的晶体表面生成时,一维方向上的结合价键发生断裂,在表层产生了力的不平衡,因而表面原子发生重组,以降低能量组态,吸附的表面层常有自己的结构。表面结构可分为与体积内部结构匹配和不匹配型。匹配型表面结构可用体积内部的晶胞参数来描述其点阵结构,如fcc (100) P (2x2) , 表面晶体是面心立方的(100面), 表面结构是正方点阵,且二维点阵常数是基体点阵常数的2倍。这种结构称为2×2结构,还有3×1、5×1、4×4结构等。P是晶体符号,表示元胞,面心点阵用C表示。二维倒易点与三维倒易点阵的定义一样,但这里考虑的是原子列,不是晶面。倒易矢量g垂直于相应的原子列,其大小也与相应的原子列间距成反比。知道了真实的二维点阵,可求出倒易点阵,反之亦然。二维点阵的衍射可看成原子列散射波间的干涉。如图9所示,设入射波长为λ,入射角为θ0, 反射角为,原子列间距为dhk,则满足下列关系时即产生衍射。
(5)

▲图9 二维点阵源自列衍射
图10所示为低能电子衍射(LEED) 系统示意图。几何光路布置类似于X射线背散射相机。电子枪产生的单色电子束(束直径小于0.1mm) 照射在样品表面,衍射花样用球型荧光屏观察。荧光屏前加同心球栅、能量分析器,在棚网上加一与入射电子能量相近的减速电压,以排斥掉非弹性电子,使衍射斑点清澈。法拉第圆筒探测器用于精确测量电子束流和谱形。为了进行高、低温试验,LEED系统中还可装置加热附件和冷却附件。

▲图10 低能电子衍射(LEED) 系统
分析晶体清洁表面结构时,样品要求在超高真空室内解理(1. 3x10~8Pa) .若解理有困难,则样品应在工作室内原位(in-situ) 化学清洁和离子轰击清洁。化学法清洁是用氧气和氢气反复清洗样品表面,并辅之以加热退火处理。离子法是用离子轰击表面进行清理,离子轰击会造成表面缺陷,所以也要辅之以加热退火处理,使清洁的表面原子重新排列。表面层的吸附试验也可直接在工作室内进行后再分析。低能电子衍射花样是二维倒易点阵的复写,据此可进行衍射花样标定(图8) , 由二维倒易点阵再推算出表面结构。在分析表面吸附层之前,应首先确定其表面的位向和衍射花样。要详细分析原子占位情况,还应分析每个衍射斑点的强度。

1.5 场离子显微分析
场离子显微镜既可观测到表面单个原子像,又可观测材料的三维结构,因此是研究金属中点缺陷、位错、层错、相界、晶界、沉淀相形核长大、有序-无序反应及调幅分解等内容的有力工具。图11所示为场离子显微镜结构示意图。

▲图11 场离子显微镜结构示意图
样品采用长度10~15mm的细丝,尖端截面直径小于0.5mm,尖端经电解抛光后,形成一个100 ~300个原子堆积而成的半球形表面(曲率半径为10~100nm) 。另一端和用液氮冷却的钨电极相接。工作室内先把真空抽到1.33x10E-6Pa。然后通入氨、氖等惰性气体(10E-3Pa) 。样品相对于荧光屏带有5~30kV的正电压。进入工作室的成像气体原子在电场的作用下产生极化,气体原子被样品尖端吸引。在与样品表面的撞击过程中,其外层电子能通过隧道效应穿过样品表面的位垒区而进人样品内部,此时原子产生电离。成像气体的正离子受到电场的加速作用,沿着电通量线(flux line) 方向,射向荧光屏,使荧光屏发光。这个过程往往在样品尖端的局部高场区优先进行。表面凸起的原子产生局部高场,因此荧光屏上每个发光点实际上是与样品表面的突出原子相互对应的。荧光屏上的图像就是针尖样品表面的某些突出原子的放大像。图12 示意地说明了场离子显微图像的形成及其标定方法。样品尖端是个球面,当各个晶面在不同方向上与球面相交时,就在球面的不同方向上形成一个圆,连续的原子面就构成了不同层次的同心圆。每两层面之间存在一个台阶,台阶边缘原子都是突出原子,因此,晶体的场离子显微图像就将由一些围绕着若干中心的亮点圆环组成,同心亮点圆环的中心就是相应原子平面法线的径向投影极点。根据这个道理并利用极图就可确定各极点的指数。

▲图12 场离子显微镜图像的形成及其图标示意图
场离子显微镜的放大倍数近似等于屏的距离与样品顶端半径之比,约为100万倍。分辨率除与样品成分、顶端半径等因素有关外,主要取决于温度,对顶部半径为50nm的样品,20K时,分辨率可达0.2nm; 80K时,可达0.35nm。因而对样品进行有效冷却是很重要的。场离子显微技术曾成功用于缺陷的研究,如图像上同心环亮点不连续时是空位,出现额外的亮点则是间隙原子,出现螺旋形圆环则是位错等。目前的应用也越来越广”泛,如研究固溶体、有序合金、沉淀及相变等。

2 相变过程测量
对钢相变过程的研究,是为科学、合理使用钢材与制订热处理工艺提供依据,从而达到控制最终获得最佳组织的目的。本部分主要介绍相变临界点的测定方法和奥氏体等温转变图(TTT曲线)、奥氏体连续冷却转变图(CCT曲线)的测定方法。
2.1 相变点测定
钢的相变点测定包括平衡相变临界点A1 、A3 、Acm等和非平衡相变点Bs、Ms等的测定。常用方法有金相法、热分析法、膨胀法和磁性法等。
2.1.1 金相法
金相法是古老而传统的方法,直接通过观察钢在加热到不同温度组织是否发生相变而确定临界点。以测定亚共析钢的Ac1和Ac3 说明测定过程。取一组试片,先加热到1200°℃, 进行高温退火,使成分均匀,降低偏析程度,并使晶粒长大,易于观察。根据试样成分,确定几个加热温度,温度间隔一般取5~10°℃, 缓慢加热到规定温度(<30°C/min) , 保温30~60min 后取出淬火冷却,随后在300~400℃回火,使马氏体转变为回火托氏体,这样可增大铁素体与基体的衬度。金相观察应在试片的中部,一般以在晶界出现数量约1%~2%马氏体(体积分数)的温度,作为Ac1点的判据,残存数量约1%~2%铁素体(体积分数)的温度,作为Ac3 的判据。没有达到这个判据时,表示温度过低或过高。根据情况调整加热温度,再次试验,直至取得满意结果为止。用金相法测临界点在生产中比较实用,也较准确,但手续繁琐,费工费时。
2.1.2 热分析法
热分析法是研究金属相变最基本、最常用的方法。其原理是发生相变时,常有明显的吸热或放热反应,记录试样温度变化情况,就可测定相变的临界点,甚至测定相变过程的热效应。热分析法分普通热分析法和示差热分析法。普通热分析法装置如图13所示。把试样放在炉中缓慢加热(或冷却), 记录其温度一时间曲线,结果如图14 所示。当发生相变产生热效应时,可观察到温度平台,或升温速度的突变(偏斜), 相对应的温度就是相变临界点。

▲图13 普通热分析装置示意图

▲图14 普通热分析曲线

示差热分析装置如图15 所示。示差热电偶是两副完全相同的热电偶,以相同极相连结而构成,这样就得到了有两个热端的双热电偶,将两个热端分别插入试样和标样内,测定它们的温度差。标样在所测温度区间应无相变(测钢可用铜等),并与试样间用隔热材料分开。当试样不发生相变时,t=0; 当试样发生相变时,伴随发生的热效应改变了试样的升温(或降温)条件,Δt≠0, 故Δt的变化反映了相变热效应的相对大小和热效应的性质-吸热或放热反应。为了准确测定相变临界点,在记录的同时,记录温度-时间曲线。

▲图15 示差热分析装置示意图
图16 所示为共钢示差热分析曲线,可准确测得Ac1 和Ar1 示差热分析比普通热分析灵敏度高,因为没有发生相变时Δt为零,仅在发生相变时示差热偶才有信号转出,故可以选择高灵敏的记录仪表。

▲图16 共析钢示差热分析曲线
虽然热分析给我们提供了关于相变过程的多方面信息,但热分析过程是一个能量转换和热量交换的过程,其试验记录依赖于多方面的因素,而且难于精确控制,这就给热分析试验及其结果分析带来了某些复杂性。表8 列出了一些常见并应注意的问题。

热分析方法不仅在冶金,而且在化工、矿物、生物等领域得到了广泛应用和进一步发展。从普通热分析到示差热分析(DTA) , 进而演变出各种记录方式,各种形式的探测部分,以至派生出专为定量热分析而设计的示差扫描量热计(DSC) 。根据热分析曲线,不仅可以测定相变发生的温度,还可以根据热效应峰的面积、曲线的走向、峰在温度坐标上的分布等,进行相变的热力学过程和动力学过程的研究,以及混合物的组成分析。
2.1.3 膨胀法
各个相的晶体结构不同,因而比体积不同,导致相变时试样发生明显的体积膨胀或收缩效应。钢中基本相的比体积关系是:马氏体>铁素体>奥氏体>碳化物(但铬和钒的碳化物比体积大于奥氏体)。表9 列出钢中基本相的比体积和平均线胀系数。

测量加热或冷却过程体积的异常变化,就可测得各相变点。膨胀法设备简
单,测量方便,是一般试验室最常用的方法。此外,在测量相变点时,还可根据下式同时测得膨胀系数:
(6)

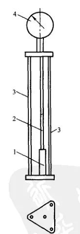
测定膨胀量所用的仪器称为膨胀仪。它的种类很多,按其放大原理可以概括为机械放大、光学放大及电测放大三种类型。近年来一些较先进的膨胀仪,其加热和降温速度用自控仪表以至电子计算机连续控制,使测量结果更为可靠。膨胀仪的结构通常包括三个主要部分,即试样容器、伸长量测量系统和加热冷却及测温装置。简易机械式膨胀仪的测量部分如图17所示。中间的石英杆2用来传递试样1的伸长,周围的三根石英杆3用以支撑试样台。伸长量由千分表4读出。试样外面有炉子,用以改变试样的温度。温度值可用热电偶测量。这种膨胀仪结构简单,操作方便;但影响因素很多,测量精度较差。

▲图17 简易机械式膨胀测量部分示意图

石英在加热和冷却时没有相变。膨胀系数很小,约为钢铁材料的百分之五。从图17 中可见,千分表测得的伸长量实际是试样的伸长和石英杆的伸长之和。有些膨胀仪可自动补偿石英杆的伸长。为避免试样在高温下氧化,有的膨胀仪还附有抽真空设备,使试样室保持一定的真空度,或者通以惰性气体等。伸长量和温度的测量系统,各种膨胀仪有所不同。简易膨胀仪采用千分表和热电偶测得试样的伸长量和温度。光学示差膨胀仪是利用光学杠杆,放大试样伸长量。如国内用得较多的 Leitz HTV 型膨胀仪,可将伸长放大约200~800倍。它的温度测量是通过和试样尺寸相同的标准试样的伸长量测得。标样和试样在炉膛中位置靠近,加热和冷却条件相同。要求标样的伸长量和温度成正比,且具有较大的线膨胀系统,在所使用的温度范围内不发生相变。在测定非铁金属相变点时,采用纯铝或纯铜作标样。对钢铁材料,标样选用镍铬合金(镍质量分数为80%, 铬质量分
数为20%) 。
利用非电量测法,可以将试样的长度变化转换成相应的电信号,再对电信号进行处理和记录。电容式膨胀仪是由试样膨胀引起电容器C1 的电容改变[图18 a) ], 从而改变了LC 回路阻抗,使输出信号发生变化。通过放大器输入到记录仪,便可绘出试样的膨胀曲线。目前各种自动记录式膨胀仪中应用较多的是电感式膨胀仪。其放大倍数可达 6000 倍。当试样未加热时,铁心处于平衡位置,差动变压器输出为零。试样伸长时,通过石英杆使铁心上升,差动变压器的次线圈中的上部线圈电感增加,下部电感减小[图18 b)] 。由于两个次线圈是反向串联的,所以产生了输出信号电压,它与试样伸长呈线性关系。将此信号经放大后输入X一Y记录仪的纵轴,温度信号输人横轴,便可得到试样的膨胀曲线。Formaster 膨胀仪是电感式膨胀仪中较为先进的一种。它可以同时将温度、伸长量与时间的关系曲线绘制在X-Y记录仪上。试样采用真空高频加热,可使加热速度在500°℃/s以下范围内变化。试样冷却可选用小电流加热、自然冷却和强力喷气冷却等方法。加热和冷却均可利用电子计算机进行程序控制。可以得到在室温以上几乎是任意形状的加热和冷却曲线。试样尺寸视不同膨胀仪各异。图19所示为HTV型膨胀仪的试样结构。截面小易使试样温度均匀,长度较长,可提高伸长量测定时的灵敏度。卧式膨胀仪试样两端有两个凸缘,减少水平放置时的摩擦阻力。试样中的小孔用于放置热电偶(也可不开小孔,将热电偶焊在或紧贴在试样上)。Formaster 膨胀仪,要求试样快冷,可采用薄壁空心短圆柱形试样。

▲图19 试样结构

2.1.3.2 临界点的测定
图20 所示为亚共析钢缓慢加热、缓冷过程中的膨胀曲线。亚共析钢常温下的平衡组织为铁素体和珠光体,当缓慢加热到725°C (Ac1) 时,钢中珠光体转变为奥氏体,体积收缩;温度继续升高,钢中铁素体转变为奥氏体,体积继续收缩,直到铁素体全部转变为奥氏体,钢又以奥氏体膨胀特性伸长。冷却过程恰与加热过程相
反,但由于相变滞后效应,冷却曲线位于加热曲线下方。相变结束后,二曲线重合。

▲图20 亚共析钢的膨胀曲线
(1) 切线法。取膨胀曲线上偏离正常纯热膨胀(或纯冷收缩)的开始位置作为Ac1或Ar3 的温度,如图20中的a及c点。取再次恢复纯热膨胀(或纯冷收缩)的开始作为Ac3 或Ar1 温度,如图9-20 中的b、d点。通常其偏离位置由所作切线得到,故称切线法。该法符合金属学原理,物理意义明确,但切点不易取准,判断相变温度易受观测者主观因素的影响。为了减少目测误差,必须使用高精度膨胀仪作出精细而清晰的曲线。(2) 极值法。取加热或冷却曲线上的四个极值位置,图20中的a'、b'、c'和d'分别为Ac1、Ac3 、Ar3 和Ar1 的温度。这种方法的优点是判断相变温度的位置十分明显,人为因素较小。因此,在研究各种因素对相变温度的影响时,用极值法更易比较和分析。缺点是得到临界点温度和真实值有偏离。钢的原始组织、加热及冷却速度、奥氏体化温度以及保温时间等对临界点都有影响。而钢中加入合金元素,则使共析转变温度和共析点的位置发生移动,对过冷奥氏体的转变影响更大。具体测定可参照YB/T5127-1993进行。为了研究合金元素或工艺因素对临界点的影响,试验条件必须保持一致。通常应满足以下三个条件:1) 钢的原始组织应当相同,最好都采用退火组织,并具有相近的晶粒度。2) 采用相同的加热和冷却速度,一般不宜大于3℃/min.对高合金钢冷却速度应小于2°C/min。测定马氏体相变点的原理和测量其他临界点相同。不过,对多数钢种来说,测Ms 点需要很高的冷却速度。所以仪器应具有淬冷机构和快速记录装置。通常用光学膨胀仪和电感式膨胀仪进行自动记录。图21 所示为亚共析钢的马氏体相变温度
与转变量。

▲图21 亚共析钢的马氏体相变温度与转变量
加热到 A 点转变成奥氏体后,快速冷却到 B 点发生马氏体相变,开始膨胀。B点是膨胀曲线和冷却曲线的切点,即为Ms 点。膨胀结束,恢复正常冷却曲线的D点为马氏体转变结束点(Mf 点)。如果要求定量测定马氏体转变量,就应考虑由于冷却引起的试样长度的减小和奥氏体转变为马氏体的膨胀效应两个方面。假定马氏体和奥氏体的线胀系数 α 相近,不发生相变时,膨胀曲线将大致沿A-B-C的轨迹冷却收缩,曲线BD上各点减去BC上对应的伸长量,即为马氏体相变时的体积效应。体积效应与相变量成正比,从而可求出相变量。假定线段 DC表示100%马氏体,则 DC/2 时,对应的马氏体转变量为50%, 标以M50。通常马氏体转变具有不完全性,线段 DC 对应的是马氏体最大转变量,这时需要用 X 射线衍射法或金相法标定其转变量的百分数,据此再计算不同温度下马氏体的转变百分数。
2.1.4 磁性法
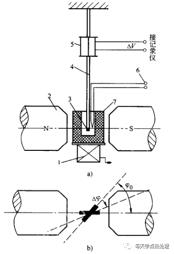
物质按磁化率 ✘ 的大小,大致可分为顺磁性(>0, 且很小,在10E-6~10E-3之间)、抗磁性(✘<0, 且10E-6 <|✘|<10E-4) 和铁磁性(✘>> 1,在10E-1~10E5 之间) 三类物质。钢中奥氏体是顺磁性,铁素体和渗碳体相都是铁磁性,铁磁性的居里点分别是768℃ 和 210℃ 。铁磁性相的饱和磁化强度 M 值很大,在磁场中对外表现出很强的磁性。而且M是结构不敏感参量,只决定于相的化学成分、晶体结构和相的数量。钢在奥氏体状态时为顺磁性相,当从高温奥氏体逐渐冷向珠光体、贝氏体、马氏体转变时,便出现铁磁性。测定铁磁性相饱和磁化强度M的变化,便可测定相变点和研究相变过程。磁性法测定相变点最常用的设备是热磁仪(也称阿库洛夫仪), 如图22所示。
▲图22 热磁仪

整个装置由三部分组成。一是电磁铁部分,用于产生磁场。磁场强度H应大于24×10E4 A/m,保证试样中出现的微量铁磁相磁化到饱和程度。二是加热炉、淬火槽与炉子升降机构部分,用于试样加热、等温处理与淬火处理。三是测量机构,包括夹持杆、热电偶与电量传感器(电容式或电感式)。试样夹持杆用非磁性材料,通常用耐热瓷管或石英管。试样的尺寸为Φ3mm×30mm, 试样上通常点焊热电偶,用于测量试样的温度变化。测量时,将试样安放在磁极轴平面内,与磁场方向成φ0角,φ0一般小于10°。当试样中奥氏体开始转变出现铁磁相时,受到一个力矩的作用,使试样转Δφ, 偏转量与铁磁相的饱和磁化强度成正比,由此可测出铁磁相的转变温度和转变量。图23 为磁性法测定Ms点曲线。测定时同时记录磁化强度和温度两条曲线。试样在奥氏体化状态时,磁化强度M为零。利用炉子升降机构把试样迅速转移到淬火槽中,则发生马氏体相变时,磁化强度开始上升,所对应的温度即为Ms点。

▲图23 铁磁法测定Ms点
磁性法只有在测量温度低于转变产物的居里点时才可应用。在高温转变时,它无法将顺磁性的渗碳体和奥氏体区分,所以不能测出过共析钢的先析渗碳体转变开始点。磁性法测定珠光体转变时,因等温温度接近居里点,转变产物的磁性减弱,温度波动对饱和磁化强度有影响,会降低定量测定时的精度。所以磁性法只能适用于测定中温转变和低温转变,高温转变时采用其他方法(如膨胀法)。

2.2 奥氏体等温转变图与奥氏体连续冷却转变图的建立方法
奥氏体等温转变图简称TTT曲线,根据其形状又称为C曲线。它是描述钢的过冷奥氏体等温转变过程中,转变开始和结束的时间,并说明了氏体的转变产物及转变量与时间的关系。奥氏体等温转变图为制订热处理工艺提供了重要依据。但实际热处理时,大多数工艺是连续冷却时进行的。根据奥氏体等温转变图进行分析显得力不从心,有时甚至导致错误的结果。为此人们进一步分析研究了连续冷却时的相变规律,建立了更接近生产实际的奥氏体连续冷却转变图(又称CCT 曲线)。测定奥氏体等温转变图和奥氏体连续冷却转变图的方法有金相法、膨胀法和磁性法。
2.2.1 金相法测奥氏体等温转变图
利用金相法可以直接观察过冷奥氏体在各个等温温度下的转变产物及其数量与时间的关系。金相法所用试样总数约200个,通常为直径Φ10~Φ15mm、厚度1~2mm 的圆形薄片试样。首先应确定试样的化学成分、相变点和马氏体开始转变点(Ms) .测定时将Ac1 和Ms点间分为若干个等温温度,每一温度用一组试片加热至规定的奥氏体化温度后,迅速投人该温度的盐炉中等温。各试片分别以不同时间等温后淬人水中,使在该等温温度下未分解的奥氏体转变为马氏体。处理完毕后,按编号顺序检查显微组织及测量硬度。确定等温转变的开始点、终止点以及转变产物的规定数量点(如25%、50%等), 将测定结果标于 “温度一时间” 半对数(时间以对数表示)坐标上,即可绘出等温转变图。金相法是测定奥氏体等温转变图曲线最基本和最直观的方法。其优点是:能准确地测定转变开始和转变完了的时间;能直接观察和评定转变产物的组织特性和转变量。金相法的局限性是试样多,工作量大;显微镜分辨率影响测定转变量的精度,对下贝氏体与马氏体有时区别困难,还需要借助显微硬度进行判定。
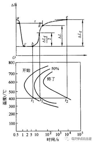
2.2.2 膨胀法测奥氏体等温转变图
膨胀法测奥氏体等温转变图原理及方法与2.1.3 所述测相变点方法相同。测定前应先知道钢的成分,以确定奥氏体化温度,保温时间根据试样尺寸确定。通常试样尺寸为直径 Φ2~Φ3mm、长度 10~30mm 的长圆柱,保温时间为5~10min。试样经奥氏体化之后,连同石英管一起放进等温炉中,同时使自动记录仪表由记录膨胀量和温度关系立即改成记录膨胀量与时间关系,即可得如图24上部所示的曲线。这种曲线称等温转变动力学曲线。ac 表示试样从高温淬火到等温温度时过冷奥氏体的纯冷却收缩;b 点所对应的时间为孕育期;be 表示随着奥氏体的分解,试样长度(体积)随时间的变化;到 e 点后,曲线平稳,长度不再变化,表示转变的终止。对高温转变,奥氏体可100% 的分解为珠光体;对贝氏体转变时,须继续降温方能完成。设最终转变时对应的膨胀量为 ΔL , 此时奥氏体的分解量为(100-A') %, 其中 A' 为残留奥氏体量,需用金相法测出。奥氏体的分解量与其相应的体积变化成正比,在 r 时间时,对应曲线的 g 点,奥氏体的转变量m可由下式计算:
(7)


▲图24 膨胀法测奥氏体等温转变图示意围
由上式可以确定奥氏体转变量与时间的关系。图24中示出了过冷奥氏体完全转变时、50%转变点的计算法。将上述转变开始点与终了点记录在 “温度一时间” 坐标上,就完成了该等温温度奥氏体等温转变图点的测定。为了测得完整的奥氏体等温转变图,应在Ms点到Ac1点之间,每隔 25°C 左右测定一个等温转变全过程,确定出每一等温温度所对应的转变开始点和终止点,并视情况需要测出转变量为25%、50%、75%所对应的点,将所有的点连成曲线即为奥氏体等温转变图。为了作图方便,时间常取对数坐标。此外,完整的奥氏体等温转变图还应标注钢的成分、晶粒度、加热温度、Ac1、Ac3 和 Ms 点,如图 25 所示。

▲图25 55Si2MnB钢的过冷奥氏体等温转变图
2.2.3 磁性法测奥氏体等温转变图
将奥氏体化的试样快冷到某一温度等温时,用磁性法可测得与膨胀法形状一样的等温转变动力学曲线。不同的是,磁性法的纵坐标物理量为试样饱和磁化强度,如图26 所示。

▲图26 磁性法测等温度转变动力学曲线
当过冷奥氏体100%转变时,可直接从曲线上量取 I100 来计算其他转变量所对应的时间。当过冷奥氏体不能完全转变时,需先确定转变终了时的奥氏体转变量(100-A') %, 其中A'为残留奥氏体量,可用金相法或X射线衍射法测出。另一种方法是标样法。常用高温回火态或正火态试样作标样,碳钢也有用工业纯铁作标样的。以试样在该等温温度时的饱和磁化强度作为实际试样中奥氏体100%转变时的标准。根据不同温度时的等温转变动力学曲线,即可绘出奥氏体等温转变图。奥氏体等温转变图测定常用方法的比较列于表10。
▼表10 测定奥氏体等温转变图常用的方法比较

2.2.4 奥氏体连续冷却转变图的测定
测定奥氏体连续冷却转变图需要在不同冷却速度下进行,要求能准确控制冷速,并且要求在快速冷却条件下能灵敏地记录下相变引起的物理量的变化。为此发展了各种高灵敏度的膨胀仪,如国产的 HPY-I型膨胀仪和进口的Formaster、LK-02 型快淬膨胀仪。这些膨胀仪均装有自动程序器,冷却时自动程序器发出指令,一方面自动打开惰性气体电动阀对试样进行气体强迫冷却,一方面通过温度控制器控制加热电流,使试样快速地线性冷却降温。因此,近年来,奥氏体连续冷却转变图均是用膨胀法,并配合金相法标定测定的。图27所示为用膨胀法测定的奥氏体连续冷却转变图,试验用钢为9Mn2Cr1MoW。首先用膨胀仪测定不同冷速下的膨胀量一温度关系曲线,在曲线上直接用切点法(见2.1.3介绍)找出相变开始点和终止点,见图27a)。在以时间对数为横坐标和温度为纵坐标绘出一系列不同冷速的曲线,并将膨胀曲线上的相变点对应到相应的冷速曲线上,然后将相变开始点和终止点依次连结,便得到奥氏体连续冷却转变图[图27b) ], 参看 YB/T 5128-1993。

▲图27 用膨胀法测定9Mn2CrlMoW钢的奥氏体连续冷却转变图
2.2.4.1 转变点的确定
转变开始点和转变终了点的确定并无统一规定,一般多采用 “切点法” , 这是符合金属学原理的。
2.2.4.2 相变类型确定
相变类型可根据相变发生的温度范围大致进行判断,如珠光体在500~700°℃, 贝氏体在500°C~Ms.如果要判定两个相变过程是连续进行,还是相隔一定温度区间进行,要考虑其膨胀曲线上的拐折情况和拐折间直线部分的斜率变化。钢中基本相的线性膨胀系数的大小顺序为:奥氏体>铁素体>珠光体>贝氏体>马氏体。当确定有困难时,要用金相法来验证。即在分界线附近把试样淬火,观察金相组织来确定所标定的分界线是否正确。
2.2.4.3 转变量的计算
试样膨胀量与转变量成比例,据此可用“杠杆法”计算转变量。图28a所示为转变发生在一个温度范围,求B点对应的 温度时的转变量。先分别作冷缩曲线的延长线,过B点作与纵轴平行的直线而与两延伸线分别相交于A和C点,线段AC则表示奥氏体总的转变量引起的膨胀,线段 BC 表示对应的t温度时奥氏体的转变量所引起的膨胀量。设总转变量为Q%, 则B点的转变百分数为:
(8)

▲图28 已转变的奥氏体数量计算示意图
对于高温区的珠光体相变,及一般中碳、低碳合金钢的中温转变,Q%通常是100%.对于中、高合金钢的中温贝氏体转变,转变往往不能完全进行,则Q%= (100-A') %, 其中A'为残留奥氏体量,需用金相法,或X射线法标定。
图28b的情况是转变发生在两个温度区间,假定高温区转变和中温区转变的体积效应相同,则各区转变的相对量可按下式求得:
(9)

在图中对应不同冷速的冷却曲线上还应标上不同转变产物的硬度值(图27b) 。这样就能利用某一钢种的连续冷却转变曲线来估计该钢在某种冷却规范下发生转变的温度范围、转变所需时间、转变产物及其性能。如可以确定临界冷却速度 vx, 它是得到全部马氏体组织的最小冷却速度。vx越小,钢件淬火时越易得到马氏体组
织,即钢淬透性越大。

3 钢中残留奥氏体的测定
由于贝氏体相变和马氏体相变的不完全性,在计算相变转变量时,常需要测定残留奥氏体量。测定残留奥氏体常用金相法、磁性法和X射线衍射法。
3.1 金相法测定残留奥氏体
金相法测定残留奥氏体是借助于物体的二维截面来推断三维空间中显微组织的定量关系。从定量金相原理可知:待测相所占体积分数等于在观察试样面积中它所占的面积分数,也等于在观察线段中它所截线段的百分比,也等于在观测的总点数中所占的点数百分比。据此,各相相对量的测量方法就有面积计量法、截线法和计点法。图29 所示为测量用网格示意图。利用测量网格或有刻度的特制目镜,便可在金相显微镜下对淬火钢金相样品中的残留奥氏体进行测定。或先拍成金相照片,再将马氏体和残留奥氏体分别剪开,放在天平上称量,也能求出残留奥氏体量。这种方法虽然很直观,但繁琐费时,精确度也不高。当残留奥氏体量(体积分数)小于
10%~15%时,便不易测出。

▲图29 测量用网格示意图
金相法的测量精度主要取决于显微组织的显 示情况,组织显示包含以下几层意思,其一是不同相的界面应清晰可见,相的形貌不失真,相的尺寸不扩大也不缩小;其二是不同相之间的反衬 要鲜明。显然衬度差越大,测量的精度越高。
为了提高测量精度,可用彩色金相法。表11列出了 60Si2Mn 钢、GCr15 钢和球墨铸铁分别用黑白金相法[4% (质量分数)硝酸酒精侵蚀]和彩色金相法测定残留奥氏体量的结果。60Si2Mn钢所用彩色金相腐蚀溶液成分为:在100mL 盐酸蒸馏水溶液(质量比为1:2或1:1或1: 0.5) 中加焦亚硫酸钾0. 6~1g, 氯化铁1~3g或氯化铜1g或氟化氢铵2~10g。为比较起见,表中也列出了X射线衍射测定结果。彩色金相法与X射线测定值相近,测量精度远高于黑白金相法。
▼表11 黑白金相法与彩色金相法测定残留奥氏体的结果比较


3.2 磁性法测定残留奥氏体
磁性法测定残留奥氏体的数量,实际上是通过测量钢中马氏体的量来实现的。已知马氏体数量后,可从试样中扣除马氏体即得残留奥氏体的数量。试验所用设备为热磁仪(见2.2. 介绍)。试样制成Φ3mm×30mm 的圆棒,进行规定的热处理。然后用热磁仪测定试样的饱和磁化强度M, M与转变量成正比。当试样中只存在马氏体和奥氏体两个相时,试样的磁化强度可用下式表示:
(10)
(11)

(12)试样的饱和磁化强度M由仪器直接测出,为了计算值还必须已知φA这种确定奥氏体量的方法是利用被测试样和一个纯马氏体的标准试样作比较,标准试样的要求是和被测样中马氏体的化学成分相同。因为饱和磁化强度与马氏体的成分有关,它随马氏体中含碳量和合金元素的增加而减少。这种测量方法的精度取决于标样的选择,通过热处理方法得到全马氏体的试样很困难的。生产上作为标样,大都选用如下方法:1) 淬火后进行冷处理(冷到液氮或液氨温度),使钢中残留奥氏体量降得很低。2) 选用“回火标样”, 淬火后进行适当温度回火,使残留奥氏体尽量分解为回火马氏体。对高碳、高合金钢,目前一般采用中温、甚至高温回火的标样。3) 对低碳钢和低合金钢,也可选用“铁素体标样”, 因为碳含量及合金元素含量低时对马氏体的磁饱和强度影响很小。此外,也有人提出用半经验公式计算马氏体的饱和磁化强度MM。
(13)

用上式计算不同碳钢经油或碱液淬冷以及淬冷后再经液氮深冷处理的试样中的残留奥氏体量和用X射线测定的结果很接近,见表12。

在淬冷后的高合金工具钢中,除了马氏体与残留奥氏体外,还有弱磁性的碳化物,因此确定残留奥氏体量要更复杂些。试样中各相的体积分数为:
(14)
(15)φc必须用其他方法确定。如用电解分离,将碳化物精确称量后,再换算成体积分数。如果工厂要用残留奥氏体量作为检验产品的质量时,可先用X射线衍射法定量算出合格残留奥氏体量的上、下范围,并用磁性法折换成饱和磁化强度的范围进行检验。磁性法测量速度快,X射线法测量精度高,两者配合可得到满意的结果。
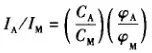
3.3 X射线衍射法测定残留奥氏体
当残留奥氏体含量较高时,采用金相法可获得满意结果,但当含量小于10% (体积分数)时,其误差较大。磁性法只能测定试样整体的残留奥氏体量,如需测定局部的、表面的或沿层深分布的奥氏体量时,必须采用X射线衍射法。采用滤波辐射时,其下限探测的体积分数为4%~5%, 当采用旋转阳极靶附加晶体单色器时,其允许探测量可小于1%。测定钢中残留奥氏体含量,广泛采用直接对比法。它是指测定多相混合物中某相含量时,以另一相的某一根衍射线条作为参考线条,不必掺入外加标准物质。使用块状多晶试样,在生产上很方便。确定残留奥氏体含量时,可在同一个衍射花样上,测出奥氏体和马氏体的某衍射线的强度比。根据X射线衍射强度(累积强度)公式可知:
(16)
(17)
φA+φM=100%

联立两式得:
(18)(CA/CM) 的数值可根据试验结果在X射线衍射的有关参考书查到,而IM/lA由试验测出,φA就可由式(18) 算出。
图30所示为奥氏体及马氏体衍射线条相对位置示意图。通常选择的衍射线对是(200) A- (200) M, (311)A-(211)M,(220)A-(211)M。(111) A 和(110) M虽然强度高,但往往相互重叠,所以不采用。当奥氏体转变为体心正方的马氏体时,原属体心立方点阵的各条衍射线条将分离成双线。例如(200) 或(020) 与(002) 的晶面间距不再相等,就分离成(200) +(020) 和(002) 两条线。但当马氏体碳含量小于=0.6% (质量分数)时,由于正方度c/a仅略大于1, 双线尚不至分离。实际摄取的马氏体和奥氏体线条有时较宽,这是由于淬火钢中存在着不均匀的微观应力所引起。

试样制备时,要求得到平滑、无应变的表面。在磨光时应避免试样过热或塑变,防止引起马氏体和奥氏体的分解。当残留奥氏体量低时,它的谱线强度也低。如碳化物分布较弥散时,也很难用光学金相法定量,会引起较大的测量误差。为此可采用样块组合技术(增加几种标准试样), 导出另一种奥氏体计算公式,可得到较好的效果。以上三种方法的比较列于表13。

(本平台"常州精密钢管博客网"的部分图文来自网络转载,转载目的在于传递更多技术信息。我们尊重原创,版权归原作者所有,若未能找到作者和出处望请谅解,敬请联系主编微信号:steel_tube,进行删除或付稿费,多谢!)