炼铁和炼钢过程中不断产生各种粉尘。收集到的粉尘在运输、储存和利用过程中会造成二次排放。微细粉尘也会造成回收困难。安赛乐米塔尔研究了通过微球化缓解粉尘的问题。对圆盘制粒机、回转窑、高剪切混合机、深筒制粒机、强力混合器、针式搅拌机等各种微球化设备进行了研究和评价。初步结果表明,高剪切混合机可以提供最佳的技术经济效益。
在钢铁冶炼过程中,会不断地产生各种粉尘,这些粉尘的收集包括烧结厂静电除尘器(ESP)、高炉(BF)除尘器或旋风除尘器、碱性氧气转炉(BOF)ESP、电弧炉(EAF)袋式除尘器、高炉料仓袋式除尘器及其他许多集材料、卸料、破碎、筛分、脱硫、精炼等为一体的袋式除尘器。
传统上,烧结厂的设计是为了回收炼铁和炼钢的固体废物。近年来,压块技术也被用于固体废物的回收利用。烧结和压块工艺都可以消耗炼铁和炼钢的粉尘,似乎是很好的解决方案。然而,炼铁和炼钢粉尘仍然存在一些问题。首先,当粉尘从收集点被输送到烧结厂或压块厂并在这些厂处理时,粉尘会在地面和空气中产生二次排放。其次,由于不适当的化学和物理性质,一些粉尘无法在内部回收,不得不运出,在外部回收或填埋,在运输过程中,粉尘有可能因泄漏而污染环境。第三,炼铁和炼钢粉尘通常都很细,会严重恶化烧结层的透气性,从而使烧结矿的性能恶化。第四,烧结混合料中过多的细粉尘会导致烧结厂烟囱排放过高,并可能导致烟囱不透明度测试失败。因此,如何从经济和环境两个方面减轻炼铁、炼钢过程中粉尘对环境和生产的负面影响,仍然是一个挑战。
在炼铁工业中,随着高品位铁矿石的枯竭,越来越多的铁精矿被生产出来。为了处理铁精矿,人们发明了铁矿球团化并将其工业化。球团精矿也用于烧结生产,如混合球团烧结(HPS)技术。为了解决烧结过程中的微细粉尘问题,最近设计了强力混合/微球化技术。这些技术为解决炼铁和炼钢粉尘问题树立了良好典范。然而,由于粉尘产生率不足、多样性高和异质性强,这些技术并不能解决上述所有问题。
炼铁、炼钢粉尘原地微球化是解决微细粉尘问题的合理选择。一旦粉尘在生产地点造球,如果微球能保持良好的整合,上述对环境和生产的负面影响就消失了。因此,原地微球化炼铁、炼钢粉尘是一种很有前景的粉尘处理方法。安赛乐米塔尔研究了通过微球化减轻粉尘问题,研究和评价了各种微球制粒设备,包括实验室轮胎制粒机、实验室圆盘制粒机、工业回转窑、实验室高剪切混合机(HSM)、实验室深筒制粒机、实验室强力混合器和实验室针式搅拌机等。本文对该研究进行了总结。
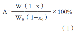
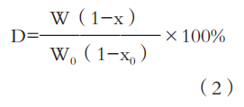
2 样品、设备和方法 样品——本研究选择了来自美国安赛乐米塔尔转炉车间的两种转炉电除尘器(ESP)粉尘和一种酸洗氧化铁粉尘作为研究对象。第一个转炉车间烟气净化系统有两套烟气净化设施。一级除尘器是收集粗粉尘的分离箱,二级除尘器是收集细粉尘的电除尘器。粗粉尘和细粉尘混合,通过气动输送至粉尘筒仓。第二个转炉车间的烟气净化系统中还设有两级除尘系统。第一级气体净化器是一个喷射箱,它通过喷射雾化水来冷却和清洗废气。喷射箱泥浆被泵入沉淀箱,在沉淀箱中产生湿砂,溢流污水被泵送至污水处理厂进行进一步处理。第二级气体净化器是一套ESP装置,可捕捉细小的粉尘颗粒。细粉尘通过螺旋输送机输送到粉尘仓中。酸洗氧化铁是在酸洗酸回收设施中产生的。 从ESP粉尘筒仓下方、ESP粉尘仓下方和酸洗氧化铁堆中采集粉尘样本。将样品装袋,密封在桶中并运至实验室。到达实验室后,通过充分混合使粉尘样品均匀化,然后密封以备后续测试。 本研究测试了粉尘样品的粒度分布和化学成分。结果分别列于表1和表2。 各种黏合剂已被测试用于粉尘的微球化,包括波特兰水泥、玉米淀粉、粉煤灰、生石灰细粉和来自多家供应商的人工液体黏合剂。 微球制粒设备——在安赛乐米塔尔全球研发机构——东芝加哥实验室,用实验室轮胎制粒机和圆盘制粒机评估了各种粉尘的制粒潜力。在此之前,用轮胎制粒机和圆盘制粒机研究了烧结厂电除尘器ESP粉尘的微球团化。目前,安赛乐米塔尔的一家承包商测试了利用实验室搅拌机制造BOF1 ESP粉尘微球的可能性。在供应商实验室,用实验室深筒制粒机和针式搅拌机也对BOF1和BOF2 ESP粉尘进行了测试。安赛乐米塔尔现有承包商已使用工业回转窑生产BOF1 ESP粉尘的微球。用实验室强力混合器在供应商实验室进行了测试。用实验室HSM已在供应商实验室和安赛乐米塔尔全球研发机构——东芝加哥实验室进行了广泛测试。 评价方法——本研究的目的是制备优质的炼铁、炼钢粉尘微球,并将其用于烧结。在选择微球制粒设备时,采用随机观察和定量测量相结合的方法,来评价是否可以制备出良好的微球。采用试错法,优化制粒装置的操作条件,被测微球的性能包括粒径分布、抗压强度、磨损强度、跌落强度和水稳定性。 对于在烧结中使用的微球,微球的目标尺寸范围在1-6.35 mm之间。 当测量微球抗压强度时,随机选择50个介于2.36-4.75mm之间的微球。抗压强度用Chatillon压缩试验机测定,记录抗压强度(平均值和偏差)。 选择200g 1-6.35mm的微球进行磨损试验。样品在1mm的筛网上摇晃5min。然后使用式(1)计算磨损指数: 式中:A为干基磨损指数(wt.%);W和W0分别为微球和原始样品的质量;x和x0分别为微球和原始样品的水分含量(wt.%)。 选择了500g 1-6.35mm的微球进行跌落试验。微球从指定的高度投到一个钢制容器中。然后用一个1mm的筛子对落下的微球进行筛分。使用式(2)计算跌落指数: 式中:D为干燥条件下的跌落指数,wt.%;W和W0分别为微球和原始样品的质量;x和x0分别为微球和原始样品的水分含量(wt.%)。 使用以下程序测试水稳定性:1)取1000g 1-6.35mm的微球。2)在一个19L的桶里装满自来水。3)保持水流量为3.8L/min。将溢流水排入排水系统。4)将样品放入1mm筛子中。轻轻地把筛子和微球放在装满水的桶里。将筛子和微球放在水中60min。5)将筛子和微球从水中取出。6)排空后,在105℃的烘箱中干燥颗粒。7)用1-mm筛子筛分干燥微球,并记录超大微球的质量。8)使用式(3)计算微球的水稳定性指数: 式中:S为干基水稳定性指数,重量百分比;W为干基中存活微球的质量;W0为收到基的原始样品质量以及x0为原始样品中的水分含量(wt.%)。 3 结果与讨论 微球制粒设备的选择——在选择微球制粒设备时,考虑了一些标准。首先,机器必须能够制造出好的微球。与普通球团相比,微球的特点是尺寸更小。一些备选的制粒设备擅长于制造规则的大球团,而这些设备中的微颗粒倾向于快速聚集成大球团,并且无法达到所需的强度特性。因此,利用这些制粒装置制备微球,将面临防止大球团形成和强化微球的挑战。其次,这些设备必须简单紧凑,以适应现有的除尘区域,这些区域通常已经非常拥挤。第三,资金成本和运营成本很重要。总的来说,这些装置应该简单有效。 安赛乐米塔尔已用工业回转窑制造微球,其质量满足烧结用微球的要求。因此,窑内微球可作为其他制粒设备评价的参考,微球的一些特性如表3所示。 虽然工业回转窑能够生产出高质量的微球,但由于其需要大量的资金和运营成本以及较大的场地,因此不能考虑采用工业回转窑进行原地微球化。圆盘制粒机是制造常规大球团的设备。用搅拌机进行的试验没有成功,深筒制粒机与圆盘制粒机相似,有利于生产大粒径球团。在大倾角操作下制备微球时,微球在制粒机中的停留时间明显缩短,微球不成熟、强度弱。大量的原始粉尘通过微球排放。来自深筒制粒机的粉尘微球与参考微球相比,并不令人满意。 针式搅拌机有一个旋转轴,在旋转轴上以特定的方式安装许多销。当针式搅拌机运行时,将灰尘和黏合剂引入搅拌机中并注入水。高速针混合并压入灰尘形成微球。与圆盘制粒机和深筒制粒机相反,针式搅拌机可生产尺寸较小的微球。由于针式搅拌机高速运转,可能会出现堵塞问题,因此进料在搅拌机中的停留时间较短。在各种转速、粉尘类型、黏合剂类型和黏合剂用量的条件下,完全固化的针式搅拌机微球的抗压强度始终小于1kgF/粒,远低于参考微球。 因此,轮胎制粒机、圆盘制粒机、回转窑、深筒制粒机和针式搅拌机都被排除在进一步调研之外。 强力混合器和高剪切混合机(HSM)都是紧凑、简单的,能够制造出好的微球。事实上,它们都有相同的逆流混合设计原理。然而,高剪切混合机(HSM)在资本投资和维护成本方面明显便宜。因此,选择高剪切混合机(HSM)进行进一步投资。 总的来看,各种制粒机的比较如表4所示。 利用实验室高速剪切技术对炼铁、炼钢粉尘进行微球化处理,根据逆流混合原理设计了高剪切混合机(HSM)。搅拌盘和进料沿与桨叶相反的方向运动,从而实现高效混合。 BOF1 ESP粉尘的完全固化微球的性质如表5所示。结果表明,用高剪切混合机(HSM)制备的微球是令人满意的。微球足够坚固,能够抵抗压缩、跌落、磨损和水。而且,不同类型的黏合剂和黏合剂用量对微球的性能有很大的影响。在炼铁和炼钢粉尘的微球团化过程中,为了获得最佳的经济效益,需要对低价格的黏合剂进行优化。 利用实验室HSM,成功制备了BOF2 ESP粉尘和酸洗氧化铁微球。研究了微球的抗压强度与固化天数,结果显示了不同黏结剂对微球抗压强度的影响。固化时间对微球的抗压强度有很强的影响。在使用微球之前,需要足够长的固化时间。 此外,本研究还发现,微球的抗压强度与黏结剂的种类和用量密切相关。参考表5,值得注意的是,即使不添加任何黏合剂,微球也可以相当强。原因是BOF ESP粉尘中含有生石灰。从表2可以看出,BOF1和BOF2 ESP粉尘中都含有大量的CaO。转炉电除尘器粉尘中的生石灰可以起到黏结剂的作用。在微球固化过程中,微球中的CaO能与空气中的CO2反应,增强微球性能。生石灰的结合能力已得到证明,其中含有10%生石灰的酸洗氧化铁微球显示出很高的抗压强度。 4 结论 本文介绍了安赛乐米塔尔对炼铁和炼钢粉尘微球化的研究情况。经过仔细评估,认为高剪切混合机(HSM)是炼铁、炼钢粉尘原地微球化的最佳选择。试验结果表明,采用高剪切混合器可以生产出满意的微球。微球强度与固化时间密切相关。微球需要足够长的固化时间。黏结剂类型和用量对微球的强度有很大的影响。石灰粉是一种理想的微球化黏结剂。 来源:锐思钢铁









