非金属夹杂物详解合集
什么是非金属夹杂?
钢中非金属夹杂物,如氧化物、硫化物、硅酸盐、氮化物等一般都呈独立相存在,主要是由炼钢中的脱氧产物和钢凝固时由于一系列物化反应所形成的各种夹杂物组成。
非金属夹杂的影响
非金属夹杂物的存在,破坏了钢基体的连续性,使钢组织的不均匀性增大。一般来说钢中非金属夹杂物,对钢的性能产生不良影响,如降低钢的塑性、韧性和疲劳性能,使钢的冷热加工性能乃至某些物理性能变坏等。因此评定钢中夹杂物类别、级别对保证钢材质量十分重要。
分类
按夹杂物的化学成分:氧化物、硫化物及氮化物。

根据夹杂物的可塑性:塑性夹杂物、脆性夹杂物、不变形夹杂物及半塑性夹杂物。
塑性夹杂物:钢中塑性夹杂物在钢经受加工变形时具有良好塑性,沿着钢的流变方向延伸成条带状。
脆性夹杂物:指那些不具有塑性的简单氧化物和复杂氧化物以及氮化物。
不变形夹杂物:这类夹杂物在铸态的钢中呈球状,而在钢凝固并经形变加工后,夹杂物保持球形不变。
半塑性夹杂物:指各种多相的铝硅酸盐夹杂物。其中作为基底的夹杂物(铝硅酸盐玻璃)一般当钢在热加工时具有塑性,但是在这基底上分布的析出相晶体(如Al2O3、尖晶石类氧化物)的塑性很差。钢经热变形后,塑性夹杂物相(基底)随钢变形而延伸,但脆性的夹杂物相不变形,仍保持原来形状,只是彼此之间的距离被拉长。
按按夹杂物的来源:内生夹杂物、外来夹杂物。
内生夹杂物:在钢的熔炼、凝固过程中,脱氧、脱硫产物,以及随温度下降,S、O、N等杂质元素的溶解度下降,于是这些不溶解的杂质元素就形成非金属化合物在钢中沉淀析出,最后留在钢锭中。内生夹杂物分布相对均匀,颗粒一般比较细小。可以通过合理的熔炼工艺来控制其数量、分布和大小等,但一般来讲内生夹杂物总是存在的。
外来夹杂物:炉衬耐火材料或炉渣等在钢的冶炼、出钢、浇铸过程中进入钢中来不及上浮而滞留在钢中称为外来夹杂物。其特征是:外形不规则、尺寸比较大,偶尔在这里或在那里出现,正确的操作可以避免或减少钢中外来夹杂物的入侵。
什么是钢材纯净度?
经过对钢中非金属夹杂物的类型、等级显微检测评定后,并通过统计计算,得出一个相对宏观的钢材纯洁度级别(或指数),即钢材的纯净度,为较全面评价钢材质量提供依据。DIN 50 602标准中方法K所表达的就是一种纯洁度级别。
计算1:
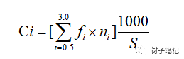
ISO 4967标准的附录C给出了相关的纯洁度级别Ci 的公式:
式中:
fi —— 权重因数,各夹杂物级别的权重因数如下:

ni —— i 级别的视场数;
S —— 试样的总检验面积,单位为每平方毫米(mm2)
计算2:数点法
通过在一个视场内划分一定量格子,通过检测夹杂所占多少格来计算纯洁度。该方法相对客观,可适于图像处理。JIS G 0555的附录1介绍了这种方法。该标准规定了纯洁度d(%)检测下列三种夹杂物:
A类夹杂物: 加工时粘性变形(硫化物、硅酸盐等)的夹杂物。
B类夹杂物: 夹杂物在加工方向成集团,并不连续排列的粒状夹杂物(氧化铝等)。
C类夹杂物: 不粘性变形的不规则分布(粒状氧化物等)的夹杂物。
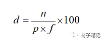
试样的通常宽15mm,高20mm,即抛光面积300mm2,夹杂物检验通常采用400倍的放大倍率,在显微镜的目镜上,插进有纵横各20根格子线的玻璃板,在显微镜载物台上检查被检面,统计各类夹杂物所占的格数。测量的视场数以60为原则,至少需30个视场以上。根据视场内玻璃板上的总格子数,视场数及夹杂物所占的格数,按下式算出夹杂物所占的面积百分比,判断该钢的清洁度d(%)。

式中:p——在视场内玻璃板上的总格子数;
f——视场数;
n——由f个视场里的所有夹杂物被占的格数。
记录方法:
例如:dB60×400=0.08%,表示:在300 mm2试面上,在400倍下,检测60个视场,B类夹杂物的含量为0.08%。
钢中非金属夹杂物含量显微测定方法基本为标准评级图法以及相应的图像分析法,较常用标准为:GB/T 10561、ISO 4967、JIS G 0555,其中GB/T 10561和JIS G 0555基本都源自ISO 4967,主要适用于压缩比≥3的轧制或锻制钢材。本文根据ISO 4967记录笔记。
夹杂物怎么评定?
评级分类
该标准把钢中非金属夹杂物分为A、B、C、D、DS等五大类,其中又把A类~D类按夹杂物粗、细(根据直径)分为两类评定,用字母e表示粗系的夹杂物,每类夹杂物随含量(递增)级别从0.5级至3级,级差为0.5级,共6个级别。
非常规类型夹杂物的评定也可通过将其形状与上述五类夹杂物进行比较,并注明其化学特征,例如:球状硫化物可作为D类夹杂物评定,但在实验报告中应加注一个下标(如Dsulf表示球状硫化物;Dcas表示球状硫化钙;DRES表示球状稀土硫化物;DDup表示球状复相夹杂物,如硫化钙包裹着氧化铝)。沉淀相类如硼化物、碳化物、碳氮化合物或氮化物的评定,也可以根据它们的形态与上述五类夹杂物进行比较,并按上述的方法表示它们的化学特征。
评定通则
试样的抛光面面积应约为200mm2,夹杂物检验通常采用100倍的放大倍率,每个观察视场的实际面积为0.50mm2。将每一个观察的视场与标准评级图谱相对比,如果一个视场处于两相邻标准图片之间时,应记录较低的一级。
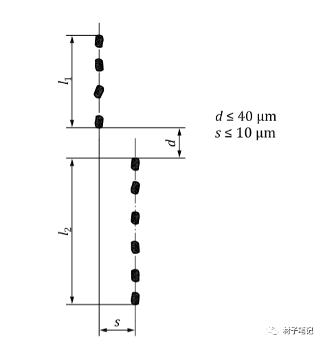
对于A、B和C类夹杂物,用l1和l2分别表示两个在或者不在一条直线上的夹杂物或串(条)状夹杂物的长度,如果两夹杂物之间的纵向距离d小于或等于40μm且沿轧制方向的横向距离s(夹杂物中心之间的距离)小于或等于10μm时,则应视为一条夹杂物或串(条)状夹杂物,如果一个串(条)状夹杂物内夹杂物的宽度不同,则应将该夹杂物的最大宽度视为该串(条)状夹杂物的宽度。


评定流程图

检测与结果表示
实际检测时,根据需要选用下列A法或B法,其中A法较为常用。
A法:应检验整个抛光面。对于每一类夹杂物,按细系和粗系记下与所检验面上最恶劣视场相符合的标准图片的级别数。如果一个视场处于两相邻标准图片之间时,应记录较低的一级。在每类夹杂物代号后再加上最恶劣视场的级别,用字母e表示出现粗系的夹杂物,s表示出现超尺寸夹杂物。例如:A2,B1e,C3,B2.5s,DS0.5。对于非传统类型的夹杂物下标应注明其含义。
B法:应检验整个抛光面,最少检验100个视场。试样每一视场同标准图片相对比,每类夹杂物按细系或粗系记下与检验视场最符合的级别数,然后计算出每类夹杂物和每个系列夹杂物相应的总级别数itot和平均级别数imoy。
例如:A类夹杂物
级别为0.5的视场数为n1;
级别为1的视场数为n2;
级别为1.5的视场数为n3;
级别为2的视场数为n4;
级别为2.5的视场数为n5;
级别为3的视场数为n6;
则:

式中:N为所观察视场的总数。
(文章来源:材子笔记)
更多关于 非金属夹杂物的文章:


