绝热是保温和保冷的统称,是为了防止生产过程中设备和管道向周围环境散发或吸收热量而进行的绝热工程,已成为建设工程中不可缺少的一项。
(1)、减少设备、管道及附件的热(冷)量损失;
(2)、保证操作人员安全,改善劳动条件,防止烫伤和较少热量散发到操作区;
(3)、在长距离输送介质时,用绝热来控制热量损失,以满足生产上所需要的温度;
(4)、冬季用保温技术来延缓或防止设备及管道内的液体冻结;
(5)、当设备及管道内的介质温度低于周围空气漏点时,采用绝热可防止设备及管道的表面结露;
(6)、对耐火材料绝热可提高设备的耐火等级;
(7)、对工艺设备及管道采取绝热措施,不但可以减少热量损失节能降耗,而且可以提高生产能力。

一、绝热范围
具有下列情况之一的设备、管道及组件应予以绝热:
(1)、外表面温度大于50℃,以及外表面温度小于等于50℃,但工艺需要保温的设备及管道;
(2)、介质凝固点或冰点高于环境温度的设备及管道;
(3)、制冷系统中的冷设备、冷管道及其附件,需要减少冷介质及载冷介质的冷损失,以及需防止低温管道外壁表面结露者;
(4)、因外界温度影响而产生冷凝液使管道腐蚀者。
二、管道绝热的做法

三、绝热层材料性能要求
1、绝热层材料应选择能提供具有随温度变化的导热系数方程式或图表的产品。对于软质绝热材料,应选择能提供在使用密度下的导热系数方程式或图表的产品。
2、绝热材料及其制品的主要物理性能和化学性能应符合国家现行有关产品标准的规定。绝热材料及其制品的导热系数应符合下列要求:
(1) 保温材料在平均温度为70℃时,其导热系数不得大于0.080W/(m·K)。
(2)用于保冷的泡沫塑料及其制品在平均温度为25℃时的导热系数不应大于0.044W/(m·K)。
(3) 泡沫橡塑制品在平均温度为0℃时的导热系数不应大于0.036W/(m·K)。
(4)Ⅰ类泡沫玻璃制品在平均温度为25℃时的导热系数不应大于0.045W/(m·K),Ⅱ类泡沫玻璃制品在平均温度为25℃时的导热系数不应大于0.064W/(m·K)。
(5)硬质保温制品的密度不应大于220kg/m3,半硬质保温制品的密度不应大于200kg/m3,软质保温制品的密度不应大于150kg/m3。用于保冷的泡沫塑料制品的密度不应大于60kg/m3,泡沫橡塑制品的密度不应大于95kg/m3,泡沫玻璃制品的密度不应大于180kg/m3。
3、常用绝热材料及其制品的主要物理性能和化学性能,应符合下列要求:
(1)岩棉制品的纤维平均直径不得大于5.5μm,粒径大于0.25mm的渣球含量不得大于6.0%,有机物含量不得大于4.0%,管壳有机物含量不得大于5.0%,宜采用憎水型制品。当有防水要求时,其制品质量吸湿率不应大于1.0%,憎水率不应小于98%。岩棉制品的酸度系数不应低于1.6。
(2)矿渣棉制品的纤维平均直径不得大于6.5μm,粒径大于0.25mm的渣球含量不得大于8.0%,有机物含量不得大于4.0%,管壳有机物含量不得大于5.0%,宜采用憎水型制品。当有防水要求时,其制品质量吸湿率不应大于4.0%,憎水率不应小于98%。
(3) 玻璃棉制品纤维平均直径不得大于7.0μm,粒径大于0.25mm的渣球含量不得大于0.2%,有机物含量不得大于4.0%,管壳有机物含量不得大于5.0%。当有防水要求时,其制品的质量吸湿率不应大于3.0%,憎水率不应小于98%。
(4) 硅酸铝棉制品中,粒径大于0.21mm的渣球含量不得大于18%。当选用含粘结剂的硅酸铝棉制品时,宜采用憎水型制品,其抗拉强度应大于0.05MPa。当有防水要求时,其制品质量吸湿率不应大于4.0%,憎水率不应小于98%,硅酸铝针刺毯的抗拉强度应大于0.035MPa。
(5) 硅酸镁纤维毯中,粒径大于0.21mm的渣球含量不得大于16%,抗拉强度应大于0.04MPa。
(6) 硅酸钙制品应采用无石棉含耐高温纤维的制品,质量含湿率不得大于7.5%,抗压强度不得小于0.6MPa,抗折强度不得小于0.3MPa,线收缩率不得大于2.0%。
(7)复合硅酸盐制品宜采用憎水型,质量含湿率不应大于2.0%,憎水率不应小于98%,毡的压缩回弹率不得小于70%。
(8)泡沫玻璃制品的抗压强度不得小于0.8MPa,抗折强度不得小于0.4MPa,体积吸水率不得大于0.5%,水蒸气透湿系数不得大于5×10-11g/(Pa·m·s)。
(9) 聚异氰脲酸酯(PIR)泡沫制品的抗压强度不得小于0.22MPa,闭孔率不得小于90%,体积吸水率不得大于4.0%。水蒸气透湿系数不得大于5.8×10-9g/(Pa·m·s)。
(10) 聚氨酯(PUR)泡沫制品的抗压强度不得小于0.2MPa,闭孔率不得小于90%,体积吸水率不得大于5.0%。水蒸气透湿系数不得大于6.5×10-9g/(Pa·m·s)。
(11) 柔性泡沫橡塑制品的体积吸水率不得大于0.2%,水蒸气透湿系数不得大于1.3×10-10g/(Pa·m·s),轴向弯曲应无裂缝。
4、高密度聚异氰脲酸酯(HDPIR)硬质保冷垫块材料的闭孔率不得小于90%,体积吸水率不得大于4.0%,水蒸气透湿系数不得大于5.8×10-9g/(Pa·m·s)。
5、绝热材料及制品的燃烧性能等级应符合下列要求:
(1) 被绝热设备或管道表面温度大于100℃时,应选择不低于国家标准《建筑材料及制品燃烧性能分级》GB 8624中规定的A2级材料。
(2) 被绝热设备或管道表面温度小于或等于100℃时,应选择不低于国家标准《建筑材料及制品燃烧性能分级》GB 8624中规定的C级材料,当选择国家标准《建筑材料及制品燃烧性能分级》GB 8624中规定的B级和C级材料时,氧指数不应小于30%。
6、用于与奥氏体不锈钢表面接触的绝热材料,其氯化物、氟化物、硅酸根、钠离子的含量,应符合现行国家标准《覆盖奥氏体不锈钢用绝热材料规范》GB/T 17393的有关规定,其浸出液的pH值在25℃应为7.0~11.0。
7、用于覆盖铝、铜、钢材的矿物纤维类绝热材料,应按国家标准《绝热用岩棉、矿渣棉及其制品》GB/T 11835的有关规定试验并判定,对照样的秩和不应小于21。
8、岩棉、矿渣棉、玻璃棉和含粘结剂的硅酸铝棉制品应提供高于工况使用温度至少100℃的最高使用温度评估报告,试验方法应按现行国家标准《绝热材料最高使用温度的评估方法》GB/T 17430的有关规定进行,判定依据应按现行国家标准《绝热用岩棉、矿渣棉及其制品》GB/T 11835和《绝热用玻璃棉及其制品》GB/T 13350的有关规定判定,不合格者不得使用。
9、绝热层材料应选择能提供具有最高或最低使用温度、燃烧性能、腐蚀性及耐蚀性、防潮性能、抗压强度、抗折强度、化学稳定性、热稳定性指标的产品。对硬质绝热材料尚应提供材料的线膨胀系数或线收缩率数据。
四、防潮层材料性能要求
1、防潮层材料应选择具有良好抗蒸气渗透性、防水性和防潮性,且其吸水率不大于1.0%的材料。
2、防潮层材料必须阻燃,其氧指数不应小于30%。
3、防潮层材料应选用化学性能稳定、无毒且耐腐蚀的材料,并不得对绝热层材料和保护层材料产生腐蚀或溶解作用。
4、防潮层材料应选择安全使用温度范围大,夏季不软化、不起泡和不流淌的材料,且在冬季用不脆化、不开裂和不脱落的材料。
5、涂抹型防潮层材料,20℃粘结强度不应小于0.15MPa,其软化温度不应低于65℃,挥发物不得大于30%。
6、包捆型防潮层材料的拉伸强度不应低于10.0MPa,断裂伸长率不应低于10%。
五、保护层材料性能要求
1、保护层材料应具有防水、防潮、抗大气腐蚀、化学稳定性好等性能,并不得对防潮层材料或绝热层材料产生腐蚀或溶解作用。
2、保护层应选择机械强度高,且在使用环境下不软化、不脆裂和抗老化的材料。
3、保护层材料应采用不低于国家标准《建筑材料及制品燃烧性能分级》GB8624中规定的C级材料。
4、对贮存或输送易燃、易爆物料的设备及管道,以及与其邻近的管道,其保护层必须采用不低于国家标准《建筑材料及制品燃烧性能分级》GB 8624中规定的A2级材料。
六、粘结剂、密封胶和耐磨剂的性能要求
1、粘结剂应根据保冷材料的性能以及使用温度选择,保冷采用的粘结剂应在使用的低温范围内保持粘结性能,粘结强度在常温时应大于0.15MPa,软化温度应大于65℃。泡沫玻璃宜采用弹性粘结剂或密封胶,在-196℃时的粘结强度应大于0.05MPa。
2、采用的粘结剂、密封胶和耐磨剂不应对金属壁产生腐蚀及引起保冷材料溶解。在由于温度变化引起伸缩或振动情况下,耐磨剂应能防止泡沫玻璃因自身或与金属相互摩擦而受损。
3、粘结剂、密封胶应选择固化时间短、具有密封性能、在设计使用年限内不开裂的产品。
七、管道绝热层厚度的计算及实例
在管道绝热保温的计算方法中,最常用的是经济厚度计算法。绝热层经济厚度是指设备、管道采用保温结构后,年热损失值与保温工程投资费的年分摊率价值之和为最小值时的保温厚度。
圆筒形设备的绝热层厚度计算公式:


式中:
D0------管道或设备外径,m
D1------绝热层外径,m
PR------能价,元/106kJ
PT------绝热材料造价,元/m³
λ------绝热材料在平均温度下的导热率,W/(m·℃)
αs------绝热层外表面向周围空气的放热系数,W/(㎡·℃)
t------年运行时间,h
T0------管道或设备的外表面温度,℃
δ------保温管道的经济厚度,mm
Ta------环境温度,℃
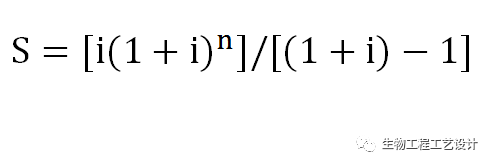
S------绝热投资年分摊率,%

式中:
i------年利率(复利率),%
n------计息年数,年
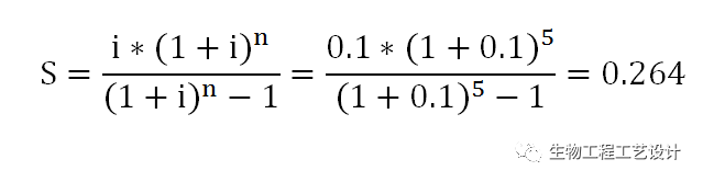
【实例】
有一架空蒸汽管道,外径D0=108mm,蒸汽温度T0=200℃,当地环境温度Ta=20℃,室外风速u=3m/s,能价PR=3.6元/106kJ,投资计息年限数n=5年,年利息i=10%(复利息),绝热材料造价PT=640元/m³,选用岩棉管壳为保温材料。计算管道需要的保温层厚度、热损失及表面温度。
解:
(1)热导率λ
Tm=(200+20)/2=110℃
岩棉管壳密度<200kg/m³,
λ=0.044+0.00018(Tm-70)=0.0512W/(m·℃)
(2)总的表面传热膜系数αs=(α0+6u0.5)*1.163=20.23W/(m·℃)
(3)保温工程投资偿还年分摊率

(4)保温层厚度


δ=(D1-D0)/2
得到:D1=214mm,D0=108mm,保温层厚度为53mm,取60mm。


