高端装备用双相不锈钢无缝钢管系列关键工艺技术开发及工程应用
一、研究的背景与问题
双相不锈钢是我国国家战略新兴产业不可或缺的重要钢类,油气输送、海洋工程及船舶、石油炼化、环保工程等高端装备对双相不锈钢无缝管耐腐蚀性能和低温冲击韧性等关系到材料及装备安全和寿命的重要指标提出高的要求。
双相不锈钢高铬、高钼、含氮成分和双相组织特点,在赋予其较高屈服强度和优良耐腐蚀性能的同时,也带来两相组织易失调、热加工成型困难、低温冲击韧性差等问题,以φ≥450mm规格无缝管为代表的高端大口径双相不锈钢管材长期依赖进口。
国内大口径双相不锈钢荒管和成品管材组织控制难、性能一致性差、热加工装备生产能力不足,以及双相不锈钢无缝管传统制备工艺流程长、成材率低是国内双相不锈钢无缝管生产面临的主要困难,成为严重制约我国高端装备用不锈钢发展的瓶颈。
钢铁研究总院、江苏武进不锈股份有限公司和山西太钢不锈钢股份有限公司组成的联合研发团队,依托国家转型升级强基工程项目,历经十二年,从系列双相不锈钢钢种设计和开发、冶炼、热穿孔荒管制备、成品管材轧制热处理等方面进行工艺和技术研发,针对高端装备用双相不锈钢无缝管所提出的更高耐点腐蚀性能、低温冲击韧性要求以及高性能大口径双相不锈钢冷轧管材国内无法生产的“瓶颈”问题,突破了高端装备用双相不锈钢“两相平衡设计-高纯净度冶炼及浇注-热穿孔-冷轧-均温快冷热处理”全流程组织控制技术,集成了大规格管坯、大口径荒管和成品管制造核心装备,并实现了高品质双相不锈钢系列无缝钢管的规模化生产及应用。该技术思路线如下:

1.提出了系列双相不锈钢钢种的相比例与点蚀因子的平衡设计准则,开发了S32205、S32750等典型钢种的管坯制备技术,包括低氧控制(全氧含量≤25ppm)、中心缩孔消除及窄温度区间锻造等。
针对双相不锈钢两相比例、两相PREN值易失调的问题,通过两相比例平衡准则和Cr当量、Ni当量修正系数的确立,有效提高了双相不锈钢的组织预测准确性;通过两相PREN值平衡准则的确立,实现了基于N元素的两相PREN值平衡有效控制方法,并结合成分控制获得系列双相不锈钢高耐蚀性能所需的精准等温控制工艺。
针对国产双相不锈钢钢锭氧含量高、纯净度低、有害夹杂物含量高的问题,开发了“以Al强化脱氧为核心”的高纯净度冶炼技术,实现系列双相不锈钢钢锭全氧含量≤25ppm;在此基础上集成开发了高铝碱性精炼渣系+高效钙处理+弱氩气搅拌工艺,并实现系列双相不锈钢低A12O3夹杂含量和Al2O3夹杂改性控制。
针对大规格双相不锈钢钢锭浇注及冷却过程中易形成中心缩孔的问题,优化了浇铸温度和浇铸减流工艺,实现了φ200~φ432mm规格双相不锈钢管坯无中心缩孔浇铸。
针对双相不锈钢锻造过程中热塑性差和组织易粗化的问题,实现了锻造温度窄范围控制,获得了无析出、组织细小的双相不锈钢高质量管坯。

2.发现了典型双相不锈钢热穿孔敏感温度区间,开发了变形温度-转速协同控制技术,自主集成了系列组距热穿孔装备,能够生产最大规格为φ720mm双相不锈钢荒管,一次穿孔的φ610mm双相不锈钢荒管属世界最大并实现批量稳定生产。
针对大口径双相不锈钢管材热穿孔加工抗力大、塑性差的问题,通过热扭转模拟热穿孔变形系列对比试验,发现了双相不锈钢的热扭转峰值应力-温度敏感性特性,以及N元素降低热扭转塑性的机制,制定了双相不锈钢N元素和热穿孔温度内控区间。
针对双相不锈钢热穿孔实心坯热成形至空心荒管阶段的热塑性差、易开裂的问题,在窄区间穿孔温度控制的基础上,通过大碾角斜轧热穿孔应力应变场和温度场和顶头穿孔过程中温度场变化分布特征研究,开发了温度-转速匹配的双相不锈钢荒管热穿孔工艺技术,并结合管坯加热工艺的改进,开发了具有自主知识产权的斜底式加热炉,实现双相不锈钢加热温升工艺精控;针对大口径双相不锈钢热穿孔温度制度复杂的问题和单道/二次穿孔成型的要求,自主集成了大碾角斜轧热穿孔机组、管材推管机、快速输送装置、冷却系统等组成的短流程热穿孔产线、集成装备及技术,实现坯料快送和料温控制。
利用以上热穿孔工艺技术及φ55mm~φ720mm组距热穿孔装备集成开发,有效提升了大碾角斜轧热穿孔机组装备使用效率,并实现了φ610mm世界最大规格双相不锈钢荒管制备。

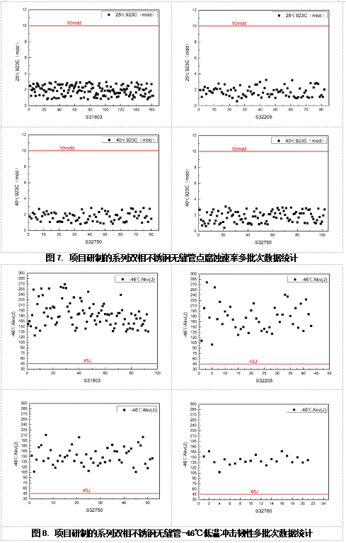
3.开发了“保温-均匀加热-快速冷却”双相不锈钢窄窗口冷轧工艺技术,利用独创的大口径管材固溶、冷却装备,生产了世界最大规格φ610mm双相不锈钢冷轧管材,全系列双相不锈钢无缝管的点腐蚀率≤3.5mdd、-46℃冲击功KV≥100J。
针对双相不锈钢冷轧易出现裂纹的问题,发现了双相不锈钢相尺寸粗化规律、冷加工硬化及软化规律,建立了“双相不锈钢钢种-高温中间退火热处理-变形量及分配”的关系,开发了大口径双相不锈钢无缝管冷变形调控关键工艺。
针对双相不锈钢成品管材力学性能不稳定、易脆断、耐蚀性能不足的问题,通过开展“热处理工艺对双相不锈钢相组成、相比例及室温力学性能影响的研究”、“双相不锈钢管材低温冲击韧性控制技术研究”,确定了无有害相析出、两相平衡的高冲击韧性、高耐点腐蚀性能的双相不锈钢成品管材开发准则。利用温度均匀、冷却快速的双相不锈钢管材固溶热处理工艺与集成技术,制定了针对不同口径双相不锈钢管材的不同形式、不同参数固溶处理工艺方法,实现了φ610mm双相不锈钢管材均匀加热、保温及快速冷却,保证了无析出相和均匀细小的组织控制。在实现高端装备用系列双相不锈钢管热处理装备及工艺的全覆盖的同时,保证了全系列双相不锈钢管材点腐蚀率≤3.5mdd、-46℃冲击功KV≥100J。

项目以油气输送、海洋工程及船舶、石油炼化、环保工程等高端装备制造业重大需求为导向,开发的系列牌号S31803、S32205、S32750、S32760和系列规格(φ8mm~φ610mm)双相不锈钢无缝管产品,不仅可满足GB/T21833、ASTM A789、ASTM A790的要求,其全氧含量、非金属夹杂物水平、常温拉伸性能、低温冲击韧性、耐点腐蚀性能等实物达到芬兰Outokumpu、瑞典Sandvik公司等国外先进企业同类产品水平,其中非金属夹杂物水平、尺寸精度、最大生产规格优于国外同类产品。经中国金属学会组织的科技成果评价,项目科技成果总体达到国际先进水平,其中大口径冷轧双相不锈钢无缝管属国际首创。
双相不锈钢无中心缩孔钢锭浇注、无缝管荒管的高效低成本热穿孔等技术已推广应用于不同牌号及锭型双相不锈钢管坯和成品产品,双相不锈钢无缝管成材率提高4~10%,荒管制备成本降低约780元/吨。
项目开发的产品已应用于国内外油气输送、海洋工程及船舶、石油炼化、环保工程等高端装备领域的167个项目,累计供货接近2万吨。近三年实现供货12810吨,累计销售额7.32亿元,新增利税1.68亿元。项目授权专利34项(发明12项)、软件著作权4项,制修订国家标准4项,发表论文13篇。
该技术解决了严重制约高端装备制造的高品质双相不锈钢管坯及管材长期依赖进口、特别大口径双相不锈钢管材国内无法生产的“瓶颈”问题,为我国高端装备自主化和“走出去”战略提供了材料保障,带动了我国高精尖、高附加值不锈钢无缝管整体技术水平和制造能力的提升。




