今天浏览百度知道 发现一个问题,有一个网友在问:Φ48*35mm钢管横向承载力怎么算?如下图:
另外本站(常州精密钢管博客main.josen.net) 也有网友在问:
一根48×3.5国标钢管所能承受的力为多大
工地上使用的直径48mm,壁厚3.5mm的钢管立杆,一根能承受多大的力?
针对上以问题,我们作了下面的回答:
优质解答
当钢管步距为1500mm,此时计算长度L0=1500mm,回转半径i==15.78mm,则有:
长细比λ=L/i=,1500/15.78=95
经查阅资料得稳定系数φ=0.512,
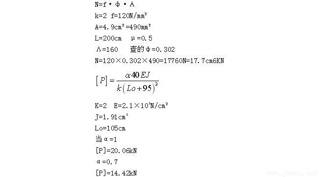
容许荷载[N]=φAf=0.512×489×205=51325N=5.13吨详细的分析如下:Ф48×3.5钢管支承杆的承载能力
一、现行规范的不适应
要在滑模工程中推行大吨位液压滑模千斤顶首先必须解决钢管支承杆的承载能力计算问题。支承杆从Ф25钢筋换成Ф48×3.5钢管,由于J值从1.91cm4增至12.19cm4,刚度增加了5倍多。那么其承载能力是否也以此倍数增加呢?按《液压滑动模板施工技术规范》(GBJ113-87)附录三规定,支承杆承载能力的计算公式为:
该公式是按当时常用的Ф25,Ф28实心支承杆通过试验归纳出来的经验表达式,当前推行大吨位千斤顶以Ф48×3.5钢管作支承杆时,再采用(GBJ113-87)中的公式计算承载力显然会得出不正确的结果。以最常见的构造尺寸为例:每次提升30cm,模板上口到提升架下模梁下口高度50cm,下模梁下口到千斤顶下卡头距离25cm。以上数据代入上式
Lo=30+50+25+=105cm E=2.1×104kN/cm2
J=12.19cm4 有套管λ=1
事实上因为Ф48×3.5钢管的截面积仅4.89cm2。3号钢的屈服点强度标注值是240N/mm2。当钢管到达屈服点时的承载能力应是
4.89×100×240=117360N=117.36kN<128kN
钢管内应力如超过屈服点,变形就急剧增加,支承杆就出现失稳现象,所以不允许应力达到屈服点,其承载能力不允许达到117kN,当然更不可能用到128kN。由此可以肯定(GBJ113-87)附录三的支承杆承载能力计算公式不使用于Ф48或更大的钢管。
二、寻求使用的方法
有人建议按照《钢结构设计规范》(GBJ-17-88)进行计算。按照规范中5.1.2公式 计算,取f=200N/mm²。可是这本规范用的是以概念理论为基础的极限状态设计方法。它不是用一个总的安全系数,而是采用了多个分项系数的极限状态计算方法。虽然3号钢的抗力分项系数很明确,规范中已有了明确的强度设计值(200或215N/mm²),但是荷载的分项系数却不明确。特别是我们的活荷载情况复杂,难以确定。这种计算方法与《滑模施工技术规范》截然不同,难以统一,因此目前尚不可能直接按《钢结构设计规范》(GBJ17-88)的公式进行计算。
从形式上看GBJ113-87附录三的支承杆能力计算公式,似以欧拉公式为基础,即近似的看作支承杆上下两端为固结(即μ=0.5),上端为千斤顶的下卡头,下端在混凝土表面以下95cm处(若模板长120cm则基本上是模板下口附近)。以上述数据代入欧拉公式则有:
这个数值基本上相当于φ25钢筋作支承杆的承载能力3倍左右。
七、上述方法的可行性
现以φ25钢筋作支承杆求其承载能力,以两种计算方法作对比进行计算。
对比两者计算结果,对于有套管的工具式支承杆N=fφA公式计算结果是偏于安全的。而对于非工具式支承杆则是偏大20%左右。由此是否可肯定这个方法基本是可用的。特别是用φ48×3.5钢管做支承杆的大多数是工具式支撑杆,工程进行中或是完成后要拔出来的。对于个别的不准备拔出的也无妨增设一个套管,这样也可减少提升架的类型。再说为了减少一根套管而要增加20%-30%的千斤顶是不值得的。
八、几个问题的探讨
1、φ48×3.5钢管与φ25钢筋支承杆承载力的比较。在我们刚开始研究以φ48×3.5钢管作支承杆时曾认为由于其刚度是φ25钢筋的6倍,所以其承载能力也是6倍。如果上述的计算方法成立的话,这个观点根本概念是错的。应该说在一般正常滑升的情况下φ48×3.5钢管与φ25钢筋作支承杆其承载能力之比是3左右。这个比值随支承杆脱空长度的增长而增长。当脱空长度(混凝土面至千斤顶下卡头的距离)从90cm增至205cm则此比值从2.6增至4.8。由此可见越是脱空长度大的情况下用钢管做支承杆越有利。如支承杆经过门窗洞口时就是如此。我们在一次应用钢管支承杆过一门洞时未做加固安然通过。虽然是荷载较小,但若是用φ25钢筋作支承杆再大的荷载也不可能不加固。
2、以上计算均采用k=2的安全系数,但是实际上φ48×3.5钢管支承杆的安全度比φ25钢筋的高。有过滑模施工经验的人都知道,在高层建筑滑模时,用φ25钢筋作支承杆在十层以下很少有支承杆失稳的。可是越往上滑升支承杆失稳现象就逐渐增加。究其原因无非是平台不平、模板变形、高处风荷载大等给支承杆带来侧向荷载、附加荷载、偏心荷载。由于φ25钢筋刚度小抵抗偏心荷载能力小,而φ48×3.5钢管刚度是它的6倍,其抵抗这些不正常荷载的能力大大提高,绝不是计算的承载能力增长的3倍。因此可以说这种情况下φ48×3.5钢管的安全度比φ25钢筋大。我们在一个外径仅2.4m高30m的水塔筒身滑模中,只采用了一些正常的滑升措施(如混凝土浇筑方向应正反交替等)整个滑升过程未产生筒身扭转,水平偏移也仅几毫米。省却了纠偏的麻烦。这在φ25钢筋支承杆滑模中是不可能做到的,这也从一个侧面证实φ48×3.5钢管支承杆的刚度大、安全度高。也说明了φ48×3.5钢管支承杆究竟应如何计算还需进一步研究,目前这种计算方法是偏于保守的算法。
3、关于支承杆与千斤顶的配套问题。一般液压滑模用千斤顶作为一个机械产品,在其出场时需进行耐压试验,其试验压力应是额定油压(即相当于额定荷载之油压)1.5倍。当千斤顶与支承杆共同工作时其安全系数应该相同。现在都取k=2。φ48×3.5钢管屈服时承载能力为117kN,也就是稳定验算时折减系数φ=1就是其最大的承载能力。由此推出相应的千斤顶的试验荷载则为120kN。其额定荷载为80kN。这样两者的安全系数就相等了。如果千斤顶的额定荷载再增大,则其配套的钢管就要加大。如仍用φ48的直径就需加大的钢管的厚度。否则就不经济了。
以上资料收集于网络,如果版权之争,请留言。
(本平台"常州精密钢管博客网"的部分图文来自网络转载,转载目的在于传递更多技术信息。我们尊重原创,版权归原作者所有,若未能找到作者和出处望请谅解,敬请联系主编微信号:steel_tube,进行删除或付稿费,多谢!)


